13.椭圆与双曲线有相同的焦点.则a的值是 查看更多

 

题目列表(包括答案和解析)

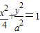
椭圆与双曲线有相同的焦点,则a的值是(       )

A.     B.1或–2    C.1或       D.1

 

查看答案和解析>>

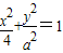
椭圆与双曲线有相同的焦点,则a的值是(  )

A.                     B. 1或–2              C.  1或                   D.  1

 

查看答案和解析>>

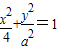
椭圆与双曲线有相同的焦点,则a的值是( )
A.1
B.-1
C.±1
D.2

查看答案和解析>>

椭圆与双曲线有相同的焦点,则a的值是( )
A.1
B.-1
C.±1
D.2

查看答案和解析>>

椭圆与双曲线有相同的焦点,则a的值是( )
A.1
B.-1
C.±1
D.2

查看答案和解析>>


同步练习册答案