21.椭圆的一个顶点为A(0.2).离心率. (1)求椭圆的方程, (2)直线与椭圆相交于不同的两点. 且满足 .求出直线的方程. 2009学年第二学期十校联合体高二期中联考 查看更多

 

题目列表(包括答案和解析)

已知椭圆的一个顶点为A(0,-1),焦点在x轴上,中心在原点.若右焦点到直线x-y+2=0的距离为3.

(1)求椭圆的标准方程;

(2)设直线y=kx+m(k≠0)与椭圆相交于不同的两点M,N.当|AM|=|AN|时,求m的取值范围.

查看答案和解析>>

椭圆的一个顶点是(0,2),离心率为
1
2
,坐标轴为对称轴的椭圆的标准方程为(  )

查看答案和解析>>

椭圆的一个顶点是(0,2),离心率为
1
2
,坐标轴为对称轴的椭圆的标准方程为(  )
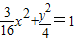
A.
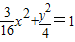
3
16
x2+
y2
4
=1
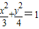
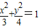
B.
x2
3
+
y2
4
=1
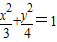
C.
x2
3
+
y2
4
=1
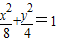
x2
8
+
y2
4
=1
D.
3
16
x2+
y2
4
=1
或 
x2
3
+
y2
4
=1

查看答案和解析>>

椭圆的一个顶点是(0,2),离心率为,坐标轴为对称轴的椭圆的标准方程为( )
A.
B.
C.
D.或 

查看答案和解析>>

椭圆的一个顶点是(0,2),离心率为数学公式,坐标轴为对称轴的椭圆的标准方程为


  1. A.
    数学公式
  2. B.
    数学公式
  3. C.
    数学公式数学公式
  4. D.
    数学公式数学公式

查看答案和解析>>


同步练习册答案