已知函数..(其中).(1)求函数的值域, (2)若函数的最小正周期为.则当时.求的单调递减区间. 查看更多

 

题目列表(包括答案和解析)

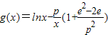
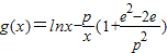
已知函数数学公式数学公式,其中e=2.71828….
(1)若f(x)在其定义域内是单调函数,求实数p的取值范围;
(2)若p∈(1,+∞),问是否存在x0>0,使f(x0)≤g(x0)成立?若存在,求出符合条件的一个x0;否则,说明理由.

查看答案和解析>>

已知函数,其中e=2.71828….
(1)若f(x)在其定义域内是单调函数,求实数p的取值范围;
(2)若p∈(1,+∞),问是否存在x>0,使f(x)≤g(x)成立?若存在,求出符合条件的一个x;否则,说明理由.

查看答案和解析>>

已知函数,其中e=2.71828….
(1)若f(x)在其定义域内是单调函数,求实数p的取值范围;
(2)若p∈(1,+∞),问是否存在x>0,使f(x)≤g(x)成立?若存在,求出符合条件的一个x;否则,说明理由.

查看答案和解析>>

已知函数,其中e=2.71828….
(1)若f(x)在其定义域内是单调函数,求实数p的取值范围;
(2)若p∈(1,+∞),问是否存在x>0,使f(x)≤g(x)成立?若存在,求出符合条件的一个x;否则,说明理由.

查看答案和解析>>

已知函数,其中e=2.71828….
(1)若f(x)在其定义域内是单调函数,求实数p的取值范围;
(2)若p∈(1,+∞),问是否存在x>0,使f(x)≤g(x)成立?若存在,求出符合条件的一个x;否则,说明理由.

查看答案和解析>>


同步练习册答案