在的展开式中.的系数是224.则的系数是 A.14 B.28 C.56 D.112 查看更多

 

题目列表(包括答案和解析)

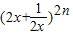
的展开式中,x2的系数是224,则的系数是( )
A.14
B.28
C.56
D.112

查看答案和解析>>

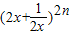
的展开式中,x2的系数是224,则的系数是( )
A.14
B.28
C.56
D.112

查看答案和解析>>

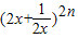
的展开式中,x2的系数是224,则的系数是( )
A.14
B.28
C.56
D.112

查看答案和解析>>

的展开式中,x2的系数是224,则的系数是( )
A.14
B.28
C.56
D.112

查看答案和解析>>

的展开式中,x2的系数是224,则的系数是( )
A.14
B.28
C.56
D.112

查看答案和解析>>


同步练习册答案