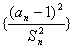
15. 已知数列{2n-1an }的前n项和. ⑴求数列{an}的通项公式,⑵设.求数列的前n项和. 查看更多

 

题目列表(包括答案和解析)

已知数列{2n-1an}的前n项和Sn=n×2n(n∈N*),
(1)求数列{an}的通项公式;
(2)求数列的前n项和Tn

查看答案和解析>>

已知数列{2n-1an}的前n项和Sn=9-6n.

(Ⅰ)求数列{an}的通项公式;

(Ⅱ)设,求数列的前n项和.

查看答案和解析>>

已知数列{2n-1an}的前n项和Sn=9-6n.

(Ⅰ)求数列{an}的通项公式;

(Ⅱ)设,求数列的前n项和.

查看答案和解析>>

已知数列{2n-1an}的前n项和Sn=9-6n.

(Ⅰ)求数列{an}的通项公式;

(Ⅱ)设,求数列的前n项和.

查看答案和解析>>

已知数列{2n-1an}的前n项和Sn=9-6n.

(Ⅰ)求数列{an}的通项公式;

(Ⅱ)设,求数列的前n项和.

查看答案和解析>>


同步练习册答案