如下图.在区域内存在与xy平面垂直的匀强磁场.磁感应强度的大小为B.在t=0时刻.一位于坐标原点的粒子源在xy平面内发射出大量同种带电粒子.所有粒子的初速度大小相同.方向与y轴正方向的夹角分布在0-180°范围内.已知沿y轴正方向发射的粒子在时刻刚好从磁场边界上点离开磁场.求: (1) 粒子在磁场中做圆周运动的半径R及粒子的比荷q/m; (2) 此时刻仍在磁场中的粒子的初速度方向与y轴正方向夹角的取值范围, (3) 从粒子发射到全部粒子离开磁场所用的时间. 查看更多

 

题目列表(包括答案和解析)

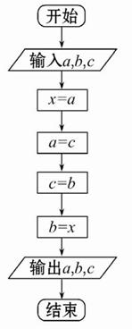
阅读如图所示的程序框图,若输入的abc分别为32,75,21,则输出的abc分别是(  )

A.75,21,32          B.21,32,75          C.32,21,75          D.75,32,21

 

查看答案和解析>>

阅读程序框图如图,若输入的a,b,c分别为21,32,75,则输出的a,b,c分别是(  )

(A)75,21,32                         (B)21,32,75

(C)32,21,75                         (D)75,32,21

查看答案和解析>>

阅读算法框图(如图),若输入的a,b,c分别为21,32,75,则输出的a,b,c分别是

[  ]
A.

75,21,32

B.

21,32,75

C.

32,21,75

D.

75,32,21

查看答案和解析>>

精英家教网如图所示,AB是塔的中轴线,C、D、A三点在同一水平线上,在C、D两点用测角仪器测得塔顶部B处的仰角分别是α=30°和β=60°,如果C、D间的距离是20m,测角仪器高是1.5m,则塔高为(  )(精确到0.1m)
A、18.8mB、10.2mC、11.5mD、21.5m

查看答案和解析>>

把已知正整数n表示为若干个正整数(至少3个,且可以相等)之和的形式,若这几个正整数可以按一定顺序构成等差数列,则称这些数为n的一个等差分拆.将这些正整数的不同排列视为相同的分拆.如:(1,4,7)与(7,4,1)为12的相同等差分拆.问正整数36的不同等差分拆的个数是(  )

查看答案和解析>>


同步练习册答案