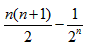
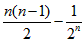
求数列的和为 A. B. C. D. 查看更多

 

题目列表(包括答案和解析)

求数列的和为

[     ]

A.
B.
C.
D.

查看答案和解析>>

若数列{an},{bn}中,a1=a,b1=b,
an=-2an-1+4bn-1
bn=-5an-1+7bn-1
,(n∈N,n≥2).请按照要求完成下列各题,并将答案填在答题纸的指定位置上.
(1)可考虑利用算法来求am,bm的值,其中m为给定的数据(m≥2,m∈N).右图算法中,虚线框中所缺的流程,可以为下面A、B、C、D中的
ACD
ACD

(请填出全部答案)
A、B、
C、D、

(2)我们可证明当a≠b,5a≠4b时,{an-bn}及{5an-4bn}均为等比数列,请按答纸题要求,完成一个问题证明,并填空.
证明:{an-bn}是等比数列,过程如下:an-bn=(-2an-1+4bn-1)+(5an-1-7bn-1)=3an-1-3bn-1=3(an-1-bn-1
所以{an-bn}是以a1-b1=a-b≠0为首项,以
3
3
为公比的等比数列;
同理{5an-4bn}是以5a1-4b1=5a-4b≠0为首项,以
2
2
为公比的等比数列
(3)若将an,bn写成列向量形式,则存在矩阵A,使
an
bn
=A
an-1
bn-1
=A(A
an-2
bn-2
)=A2
an-2
bn-2
=…=An-1
a1
b1
,请回答下面问题:
①写出矩阵A=
-24
-57
-24
-57
;  ②若矩阵Bn=A+A2+A3+…+An,矩阵Cn=PBnQ,其中矩阵Cn只有一个元素,且该元素为Bn中所有元素的和,请写出满足要求的一组P,Q:
P=
1 
1 
Q=
1
1
P=
1 
1 
Q=
1
1
; ③矩阵Cn中的唯一元素是
2n+2-4
2n+2-4

计算过程如下:

查看答案和解析>>

为调查某社区居民的业余生活状况,研究这一社区居民在20:00-22:00时间段的休闲方式与性别的关系,随机调查了该社区80人,得到下面的数据表:

     休闲方式
性别  
看电视
看书
合计

10
50
60

10
10
20
合计
20
60
80
 
(1)将此样本的频率估计为总体的概率,随机调查3名在该社区的男性,设调查的3人在这一时间段以看书为休闲方式的人数为随机变量X,求X的分布列和数学期望;
(2)根据以上数据,我们能否在犯错误的概率不超过0.01的前提下,认为“在20:00-22:00时间段居民的休闲方式与性别有关系”?
参考公式:K2,其中n=a+b+c+d.
参考数据:
P(K2≥k0)
0.15
0.10
0.05
0.025
0.010
k0
2.072
2.706
3.841
5.024
6.635
 

查看答案和解析>>

为迎接建党90周年,某班开展了一次“党史知识竞赛”,竞赛分初赛和决赛两个阶段进行,在初赛后,把成绩(满分为100分,分数均匀整数)进行统计,制成如图的频率分布表:
序号分组(分数段)频数(人数)频率
1[0,60)a0.1
2[60,75)15b
3[75,90)200.4
4[90,100]cd
合计501
(Ⅰ)求a,b,c,d的值;
(Ⅱ)决赛规则如下:为每位参加决赛的选手准备四道题目,选手对其依次作答,答对两道就终止答题,并获得一等奖,若题目答完仍然只答对一道,则获得二等奖.某同学进入决赛,每道题答对的概率P的值恰好与频率分布表中不少于90分的频率的值相同.设该同学决赛中答题个数为X,求X的分布列以及X的数学期望.

查看答案和解析>>

为了研究人体的脂肪百分比与年龄之间的关系,甲同学选取年龄为23,39,45,50,54,57,60共7组数据求得回归直线l1,记年龄和脂肪含量的平均值为;乙同学选取年龄为27,41,49,53,56,58,61共7组数据求得回归直线l2,记年龄和脂肪含量的平均值为;丙同学利用甲、乙选取的共14组数据求出回归直线l3.则下列说法正确的是( )
A.点必在直线l1
B.点必在直线l2
C.若l1,l2交于点,则l1,l2,l3三线共点
D.用回归直线l3估算35岁的脂肪含量比用l1,l2估算更接近实际

查看答案和解析>>


同步练习册答案