代表物 分子式 特征反应 糖 类 葡萄糖 C6H12O6 蔗糖 C12H22O11 淀粉 (C6H10O5)n 蛋 白 质 油脂 油 脂肪 将葡萄糖.果糖.蔗糖.麦芽糖.淀粉和纤维素.按相对分子质量递增的顺序从左到右填入左图中. [探究活动1]取一支试管.依次进行如下操作, 提示:Cu(OH)2为蓝色,CuO为黑色,Cu2O为砖红色 [探究活动2]取一支试管.依次进行如下操作, 查看更多

 

题目列表(包括答案和解析)

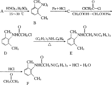
盐酸利多卡因(F)葡萄糖注射液抗心律失常可用于急性心肌梗死后室性早搏和室性心动过速.合成路线流程图如下:

(1)B在核磁共振氢谱上有________种特征峰,C→D的反应类型是________

(2)B的同分异构体种类很多,符合以下条件的B的同分异构体共有________种.

①属于苯的衍生物,苯环上共有三个取代基;

②与碳酸钠溶液反应可放出CO2气体.

(3)写出与足量的NaOH溶液共热充分反应后所得产物化学式中含三个氧原子,则1 mol该物质最终消耗NaOH为________mol.

(4)现仅以有机物CH3CH=CHCH3为原料,无机试剂任选,用反应流程图表示合成有机物CH3COOCH2CH=CHCH2OOCCH3的过程(要注明反应条件等).

提示:

查看答案和解析>>

(14分)盐酸利多卡因(F)葡萄糖注射液抗心律失常,可用于急性心肌梗死后室性早搏和室性心动过速。合成路线流程图如下:

(1)B在核磁共振氢谱上有       种特征峰,C→D的反应类型是             

(2)B的同分异构体种类很多,符合以下条件的B的同分异构体共有       种。

①属于苯的衍生物,苯环上共有三个取代基;

②与碳酸钠溶液反应可放出CO2气体。

(3)写出与足量的NaOH溶液共热充分反应后所得产物化学式中含三个氧原子,则1mol该物质最终消耗NaOH为        mol。

(4)现仅以有机物CH3CH=CHCH3为原料,无机试剂任选,用反应流程图表示合成有机物CH3COOCH2CH=CHCH2OOCCH3的过程(要注明反应条件等)。

提示:

 

查看答案和解析>>

(14分)盐酸利多卡因(F)葡萄糖注射液抗心律失常,可用于急性心肌梗死后室性早搏和室性心动过速。合成路线流程图如下:

(1)B在核磁共振氢谱上有       种特征峰,C→D的反应类型是             
(2)B的同分异构体种类很多,符合以下条件的B的同分异构体共有      种。
①属于苯的衍生物,苯环上共有三个取代基;
②与碳酸钠溶液反应可放出CO2气体。
(3)写出与足量的NaOH溶液共热充分反应后所得产物化学式中含三个氧原子,则1mol该物质最终消耗NaOH为       mol。
(4)现仅以有机物CH3CH=CHCH3为原料,无机试剂任选,用反应流程图表示合成有机物CH3COOCH2CH=CHCH2OOCCH3的过程(要注明反应条件等)。
提示:

查看答案和解析>>

(14分)盐酸利多卡因(F)葡萄糖注射液抗心律失常,可用于急性心肌梗死后室性早搏和室性心动过速。合成路线流程图如下:

(1)B在核磁共振氢谱上有        种特征峰,C→D的反应类型是             

(2)B的同分异构体种类很多,符合以下条件的B的同分异构体共有       种。

①属于苯的衍生物,苯环上共有三个取代基;

②与碳酸钠溶液反应可放出CO2气体。

(3)写出与足量的NaOH溶液共热充分反应后所得产物化学式中含三个氧原子,则1mol该物质最终消耗NaOH为        mol。

(4)现仅以有机物CH3CH=CHCH3为原料,无机试剂任选,用反应流程图表示合成有机物CH3COOCH2CH=CHCH2OOCCH3的过程(要注明反应条件等)。

提示:

 

查看答案和解析>>

盐酸利多卡因(F)葡萄糖注射液抗心律失常,可用于急性心肌梗死后室性早搏和室性心动过速。合成路线流程图如下
(1)B在核磁共振氢谱上有________种特征峰,C→D的反应类型是________。
(2)B的同分异构体种类很多,符合以下条件的B的同分异构体共有________种。
①属于苯的衍生物,苯环上共有三个取代基;②与碳酸钠溶液反应可放出CO2气体。
(3)写出与足量的NaOH溶液共热充分反应后所得产物化学式中含三个氧原子,则1mol该物质最终消耗NaOH为________mol。
(4)现仅以有机物CH3CH=CHCH3为原料,无机试剂任选,用反应流程图表示合成有机物
CH3COOCH2CH=CHCH2OOCCH3的过程(要注明反应条件等)。
提示:
_____________________________________________

查看答案和解析>>


同步练习册答案