若.则cos+sin的值为 (A) (B) (C) (D) 查看更多

 

题目列表(包括答案和解析)

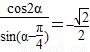
,则cosα+sinα的值为

[     ]

A.-
B.-
C.
D.

查看答案和解析>>

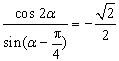
,则cosα+sinα的值为(    )

A.             B.              C.             D.

查看答案和解析>>

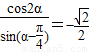
,则cosα+sinα的值为

[     ]

A、
B、
C、
D、

查看答案和解析>>

,则cosα+sinα的值为( )
A.
B.
C.
D.

查看答案和解析>>

,则cosα+sinα的值为( )
A.
B.
C.
D.

查看答案和解析>>


同步练习册答案