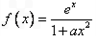
16.若函数 在R上是单调函数.则实数的取值范围是 ▲ . 查看更多

 

题目列表(包括答案和解析)

若函数在R上是单调函数,则实数a的取值范围是(    )。

查看答案和解析>>

若函数在R上是单调函数,则实数a的取值范围是________.

查看答案和解析>>

4、若函数y=f(x)在R上单调递增,且f(m2)>f(-m),则实数m的取值范围是(  )

查看答案和解析>>

16、若函数f(x)=x3+ax2+3x+1在R上不是单调函数,则实数a的取值范围是
a>3或a<-3

查看答案和解析>>

9、若函数y=f(x)在R上单调递减且f(2m)>f(1+m),则实数m的取值范围是(  )

查看答案和解析>>


同步练习册答案