8.与椭圆有相同的焦点且以为渐近线的双曲线方程为 . 答案: 查看更多

 

题目列表(包括答案和解析)

与椭圆有相同的焦点且以为渐近线的双曲线方程为        

 

查看答案和解析>>

与椭圆有相同的焦点且以为渐近线的双曲线方程        

 

查看答案和解析>>

与椭圆有相同的焦点且以y=为渐近线的双曲线方程为   

查看答案和解析>>

与椭圆数学公式有相同的焦点且以y=数学公式为渐近线的双曲线方程为________.

查看答案和解析>>

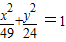
与椭圆
x2
49
+
y2
24
 =1
有相同的焦点且以y=±
4
3
x
为渐近线的双曲线方程为
x2
9
-
y2
16
=1
x2
9
-
y2
16
=1

查看答案和解析>>


同步练习册答案