如图所示是某反应的微观示意图.“ ○ .“ ● .“○ 分别表示质子数不同的3种原子.下列有关该反应的叙述正确的是( ) A.乙中含有四种元素 B.反应前后分子个数不变 C.反应的本质是原子进行了重新组合 D.甲.乙相对分子质量之和等于丙.丁相对分子质量之和 查看更多

 

题目列表(包括答案和解析)

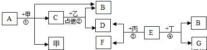
(2009?河北)如图所示的是有关物质的相互转化关系,其中E是一种金属氧化物,F是单质,丙是一种有毒气体,G的溶液呈黄色,部分反应条件已略去.
请回答:
(1)甲起的是作用;
(2)乙可能是(写一种即可);
(3)反应③的化学方程式为;
(4)反应④在生产、生活中的应用是.

查看答案和解析>>

(2009·河北)(4分)在用稀盐酸和氢氧化钠溶液进行中和反应实验时,反应过程中溶液的酸碱度变化如图13所示。

(1)该反应的化学方程式为:                                 。
(2)该实验操作是将                          滴加到另一种溶液中。
(3)当加入溶液的质量为ag时,所得溶液中的溶质为(写化学式)                   。
(4)当加入溶液的质量为bg时,向所得溶液中滴加酚酞溶液,溶液呈             色

查看答案和解析>>

(2009·河北)(4分)在用稀盐酸和氢氧化钠溶液进行中和反应实验时,反应过程中溶液的酸碱度变化如图13所示。

(1)该反应的化学方程式为:                                  。

(2)该实验操作是将                           滴加到另一种溶液中。

(3)当加入溶液的质量为ag时,所得溶液中的溶质为(写化学式)                    。

(4)当加入溶液的质量为bg时,向所得溶液中滴加酚酞溶液,溶液呈              色

 

查看答案和解析>>

(2009·河北)(4分)在用稀盐酸和氢氧化钠溶液进行中和反应实验时,反应过程中溶液的酸碱度变化如图13所示。

(1)该反应的化学方程式为:                                 。

(2)该实验操作是将                          滴加到另一种溶液中。

(3)当加入溶液的质量为ag时,所得溶液中的溶质为(写化学式)                   。

(4)当加入溶液的质量为bg时,向所得溶液中滴加酚酞溶液,溶液呈             色

 

查看答案和解析>>


同步练习册答案