23.下图中①-⑪分别代表有关反应物中的一种物质.请填写以下空白. (1)①.②.⑤.⑩的化学式分别是 . . . , (2)③与④反应的化学方程式是 ; (3)⑦与⑪反应的化学方程式是 ; (4)⑧与⑨反应的化学方程式是 . 查看更多

 

题目列表(包括答案和解析)

(10分)下图中A~J分别代表有关反应中的一种物质,它们均为中学化学中的常见物质。已知A~E和F~J中分别含有同一种元素。反应E→A+O2的条件未标出。

请填写下列空白:

(1)化合物H中的阳离子是                  ;D的化学式为                 

(2)A生成B反应的离子方程式是                                          

(3)A和F的混合物发生反应的化学方程式是                                  

(4)写出B与C生成D的离子方程式                                                  

(5)I→J反应的化学方程式是                                         

 

查看答案和解析>>

(10分)下图中A~J分别代表相关反应的一种物质.已知A分解得到等物质的量的B、C、D,图中有部分生成物未标出.

请填写以下空白:
(1)A的化学式____________
(2)写出反应①②的化学方程式:
①______________________,②______________________.
(3)写出反应③的离子方程式:_______________________.
(4)在反应④中,当生成标准状况下2.24 L G时,转移电子数为________ mol.

查看答案和解析>>

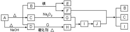
(10分)下图中A~J分别代表相关反应中的一种物质,已知A分解得到等物质的量的B、C、D,已知B、D为常温下气态化合物,C为常温下液态化合物,图中有部分生成物未标出。请填写以下空白:

(1)A的化学式             B的电子式                
(2)写出下列反应的化学方程式:
D+G→ H                          
F+J → B + C + I                               
(3)写出A+NaOH→D的离子方程式                                    

查看答案和解析>>

(10分)下图中A~J分别代表相关反应中的一种物质,已知A分解得到等物质的量的B、C、D,已知B、D为常温下气态化合物,C为常温下液态化合物,图中有部分生成物未标出。请填写以下空白:

(1)A的化学式             B的电子式                
(2)写出下列反应的化学方程式:
D+G→ H                                                  
F+J → B + C + I                                                 
(3)写出A+NaOH→D的离子方程式                                      

查看答案和解析>>

(10分)下图中A~J分别代表有关反应中的一种物质,它们均为中学化学中的常见物质。已知A~E和F~J中分别含有同一种元素。反应E→A+O2的条件未标出。

请填写下列空白:
(1)化合物H中的阳离子是                 ;D的化学式为                 
(2)A生成B反应的离子方程式是                                         
(3)A和F的混合物发生反应的化学方程式是                                  
(4)写出B与C生成D的离子方程式                                                  
(5)I→J反应的化学方程式是                                         

查看答案和解析>>


同步练习册答案