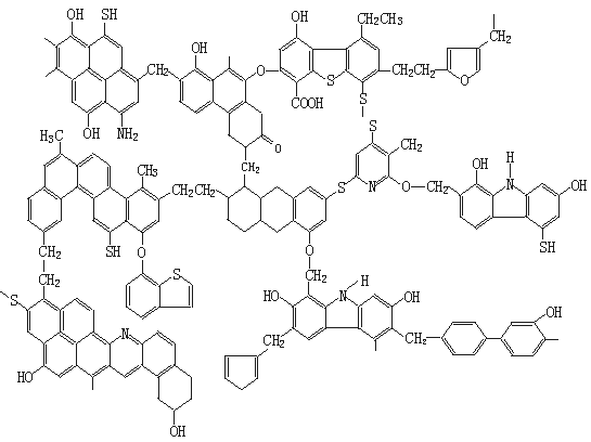
17.已知煤的结构模型如下图所示: (1)从煤的结构模型来看.煤是工业上获得 烃的重要来源. (2)我国大约70%的煤是直接用于燃烧的.从煤的结构模型来看.煤在提 供热量的同时产生大量的 等气体物质.造成严重的大气污染. (3)“型煤 技术不仅可以减少87%的废气排放量.烟尘排放量也可减少80%.致癌物 苯并芘的排放量也减少.同时节煤20%-30%.“型煤 技术的原理是利用固硫剂在燃 烧过程中生成稳定的硫酸盐.下列物质中适宜于作固硫剂的是 . A.氯化钙 B.氧化钙 C.硫酸钙 D.氢氧化钙 (4)某“型煤 生产厂利用石灰石作固硫剂.试用化学方程式表示其“固硫 过程 . (5)除上述的“型煤 技术外.为了解决煤燃烧所造成的污染问题和提高煤的利用价值. 煤资源的综合利用方法还有 . . 等. 解析:(1)煤结构中含有较多的苯环.隔绝空气给煤加强热可以使它分解.从而获得芳 香烃. (2)煤结构中含有S和N.所以直接燃烧煤能产生SO2和氮氧化物.污染环境. (3)煤燃烧产生SO2.固硫过程是使其生成稳定的硫酸盐.所以固硫剂可选用氧化钙或 氢氧化钙.固硫反应为: SO2+CaOCaSO3,2CaSO3+O2△2CaSO4或2CaO+2SO2+O2高温2CaSO4. Ca(OH)2+SO2===CaSO3+H2O,2CaSO3+O2△2CaSO4. (4)若利用石灰石作固硫剂.则发生的反应可表示为: CaCO3高温CaO+CO2↑,2CaO+2SO2+O2高温2CaSO4. (5)煤的干馏.气化和液化是提高煤的利用价值的常用方法. 答案:(1)芳香 (2)二氧化硫.氮氧化物 (3)BD (4)CaCO3高温CaO+CO2↑.2CaO+2SO2+O22CaSO4 (5)煤的干馏 气化 液化 查看更多

 

题目列表(包括答案和解析)

已知煤的近代结构模型如图所示:精英家教网
(1)从煤的结构模型来看,煤是工业上获得
 
等烃的重要来源.
(2)我国大约70%的煤是直接用于燃烧的,从煤的结构模型来看,在提供热量的同时产生大量的
 
等气体物质,造成严重的大气污染.
(3)“型煤”技术不仅可以减少87%的废气排放量,烟尘排放量也可减少80%,致癌物苯并[a]芘的排放量也减少,同时节煤20%~30%.“型煤”技术的原理是利用固硫剂在燃烧过程中生成稳定的硫酸盐.下列物质中适宜于作固硫剂(不使含S化合物进入大气)的是
 

A.氯化钙      B.氧化钙           C.硫酸钙    D.氢氧化钙
(4)某“型煤”生产厂利用石灰石作固硫剂,试用化学方程式表示其“固硫”过程.
 

(5)除上述的“型煤”技术外,为了解决煤燃烧所造成的污染问题和提高煤的利用价值,煤资源的综合利用方法还有
 
,煤的气化和液化等.

查看答案和解析>>

已知煤的近代结构模型如图所示。

回答下列问题:
(1)从煤的结构模型来看,煤是工业上获得____________的重要来源。
(2)我国大约70%的煤是直接用于燃烧的。从煤的结构模型来看,在提供热量的同时产生大量的____________、____________等气体物质,造成严重的大气污染。
(3)“型煤”技术不仅可以减少87%的废气排放量,烟尘排放量也可减少80%,致癌物苯并[α]芘的排放量也减少,同时节煤20%~30%。“型煤”技术的原理是利用固硫剂在燃烧过程中生成稳定的硫酸盐。某“型煤”生产厂利用石灰石作固硫剂,试用化学方程式表示其固硫过程________________、________________。
(4)为了解决煤燃烧所造成的污染问题和提高煤的利用价值,煤资源的综合利用方法还有____________、____________、____________等。

查看答案和解析>>

已知煤的近代结构模型如下图所示:

回答下列问题:

(1)从煤的结构模型来看,煤是工业上获得________烃的重要来源.

(2)我国大约70%的煤是直接用于燃烧的.从煤的结构模型来看,在提供热量的同时产生大量的________、________等气体物质,造成严重的大气污染.

(3)“型煤”技术不仅可以减少87%的废气排放量,烟尘排放量也可减少80%,致癌物苯并[a]芘的排放量也减少,同时节煤20%-30%.“型煤”技术的原理是利用固硫剂在燃烧过程中生成稳定的硫酸盐.某“型煤”生产厂利用石灰石作固硫剂,试用化学方程式表示其“固硫”过程:_________、_________.

(4)为了解决煤燃烧所造成的污染问题和提高煤的利用价值,煤资源的综合利用方法还有________、________、________等.

查看答案和解析>>

已知煤的近代结构模型如图所示:

(1)从煤的结构模型来看,煤是工业上获得__________烃的重要来源。

(2)我国大约70%的煤是直接用于燃烧的,从煤的结构模型来看,在提供热量的同时产生大量的__________等气体物质,造成严重的大气污染。

(3)“型煤”技术不仅可以减少87%的废气排放量,烟尘排放量也可减少80%,致癌物苯并(a)芘的排放量也减少,同时节煤20%—30%。“型煤”技术的原理是利用固硫剂在燃料过程中生成稳定的硫酸盐。下列物质中适宜于做固硫剂的是__________。

A.氯化钙                B.氧化钙              C.硫酸钙             D.氢氧化钙

(4)除上述的“型煤”技术外,为了解决煤燃烧所造成的污染问题和提高煤的利用价值,煤资源的综合利用方法还有__________,__________,__________等。

查看答案和解析>>

已知煤的近代结构模型如图所示:

1)从煤的结构模型来看,煤是工业上获得___________烃的重要来源.

2)我国大约70%的煤是直接用于燃烧的,从煤的结构模型来看,在提供热量的同时产生大量的___________等气体物质,造成严重的大气污染.

3)“型煤”技术不仅可以减少87%的废气排放量,烟尘排放量也可减少80%,致癌物苯并[α]芘的排放量也减少,同时节煤20%30%.“型煤”技术的原理是利用固硫剂在燃烧过程中生成稳定的硫酸盐.下列物质中适宜于做固硫剂的是___________

A.氯化钙           B.氧化钙           C.硫酸钙           D.氢氧化钙

4)某“型煤”生产厂利用石灰石作固硫剂,试用化学方程式表示其“固硫”过程.

5)除上述的“型煤”技术外,为了解决煤燃烧所造成的污染问题和提高煤的利用价值,煤资源的综合利用方法还有_________________________________等.

 

查看答案和解析>>


同步练习册答案