已知定义域为R的函数是奇函数.21世纪教育网 (1) 求的值, (2)若对任意的, 不等式恒成立, 求k的取值范围. 查看更多

 

题目列表(包括答案和解析)

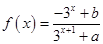
 已知定义域为R的函数是奇函数.

(1) 求的值;

(2)若对任意的, 不等式恒成立, 求k的取值范围.

查看答案和解析>>

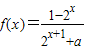
已知定义域为R的函数是奇函数.

(1)求的值;

(2)证明函数的单调性.

 

查看答案和解析>>

已知定义域为R的函数是奇函数.

(Ⅰ)求a的值;

(Ⅱ)判断的单调性并证明;

(Ⅲ)若对任意的,不等式恒成立,求的取值范围.

 

查看答案和解析>>

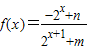
已知定义域为R的函数是奇函数.
(1)求m、n的值并指出函数y=f(x)在其定义域上的单调性(不要求证明);
(2)解不等式f(x+2)+f(2x-1)<0.

查看答案和解析>>

已知定义域为R的函数是奇函数.
(1)求a的值;
(2)若对任意的t∈R,不等式f(t2-2t)+f(2t2-k)<0恒成立,求实数k的取值范围.

查看答案和解析>>


同步练习册答案