5.如下图所示是质点M在0-10 s内的位移-时间图象.下列说法正确的是( ) A.质点第1 s的位移是4 m B.质点第5 s的位移是8 m C.质点前6 s的位移是8 m D.质点后6 s的位移是16 m [解析] 在s-t图象中.纵坐标表示位移s.横坐标表示时间t.由图可知:在第1 s初.质点位于参考点O点.在第1 s末.质点在距参考点4 m处.故第1 s内的位移为4 m.选项A正确,质点从第3 s初到第6 s末静止不动.故选项B错误.C正确.后6 s的位移为8 m.D项错误. [答案] AC 查看更多

 

题目列表(包括答案和解析)

如图所示,一列简谐横波沿x轴正方向传播,从波传到x=5 m的M点时开始计时,已知P点相继出现两个波峰的时间间隔为0.4 s,下面说法中正确的是

A.若该波传播中遇到宽约3 m的障碍物能发生明显的衍射现象

B.质点Q(x=9 m)经过0.5 s第一次到达波谷

C.质点P在0.1 s内经过的位移大小为10 cm

D.若在Q处放一接收器,接到的波的频率小于2.5 Hz

查看答案和解析>>

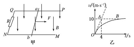
如图甲所示,空间存在B=0.5 T,方向竖直向下的匀强磁场,MN、PQ是放在同一水平面内的平行长直导轨,其间距L =0. 2 m,R是连在导轨一端的电阻,ab是跨接在导轨上质量m=0. 1 kg的导体棒。从零时刻开始,对ab施加一个大小为F=0.45 N,方向水平向右的恒定拉力,使其从静止开始沿导轨运动,此过程中棒始终保持与导轨垂直且良好接触,图乙是棒的速度一时间关系图象,其中AO是图象在O点的切线,AB是图象的渐近线。

(1)除R以外,其余部分的电阻均不计,求R的阻值;

(2)当棒的位移为100 m时,其速度已经达到10 m/s,求此过程中电阻上产生的热量。

查看答案和解析>>

如图甲所示,空间存在B="0.5" T?方向竖直向下的匀强磁场,MN?PQ是放在同一水平面内的平行长直导轨,其间距L="0.2" m,R是连在导轨一端的电阻,ab是跨接在导轨上质量m="0.1" kg的导体棒.从零时刻开始,对ab施加一个大小为F="0.45" N?方向水平向右的恒定拉力,使其从静止开始沿导轨运动,此过程中棒始终保持与导轨垂直且良好接触,图乙是棒的速度—时间关系图象,其中AO是图象在O点的切线,AB是图象的渐近线.

(1)除R以外,其余部分的电阻均不计,求R的阻值;
(2)当棒的位移为100 m时,其速度已经达到10 m/s,求此过程中电阻上产生的热量.

查看答案和解析>>

如图甲所示,空间存在B=0.5 T、方向竖直向下的匀强磁场,MN、PQ是放在同一水平面内的平行长直导轨,其间距L=0.2 m,R是连在导轨一端的电阻,ab是跨接在导轨上质量m=0.1 kg的导体棒.从零时刻开始,对ab施加一个大小为F=0.45 N、方向水平向右的恒定拉力,使其从静止开始沿导轨运动,此过程中棒始终保持与导轨垂直且良好接触,图乙是棒的速度—时间关系图象,其中AO是图象在O点的切线,AB是图象的渐近线.

(1)除R以外,其余部分的电阻均不计,求R的阻值;

(2)当棒的位移为100 m时,其速度已经达到10 m/s,求此过程中电阻上产生的热量.

 

查看答案和解析>>

如图甲所示,空间存在B="0.5" T?方向竖直向下的匀强磁场,MN?PQ是放在同一水平面内的平行长直导轨,其间距L="0.2" m,R是连在导轨一端的电阻,ab是跨接在导轨上质量m="0.1" kg的导体棒.从零时刻开始,对ab施加一个大小为F="0.45" N?方向水平向右的恒定拉力,使其从静止开始沿导轨运动,此过程中棒始终保持与导轨垂直且良好接触,图乙是棒的速度—时间关系图象,其中AO是图象在O点的切线,AB是图象的渐近线.

(1)除R以外,其余部分的电阻均不计,求R的阻值;
(2)当棒的位移为100 m时,其速度已经达到10 m/s,求此过程中电阻上产生的热量.

查看答案和解析>>


同步练习册答案