0  117202  117210  117216  117220  117226  117228  117232  117238  117240  117246  117252  117256  117258  117262  117268  117270  117276  117280  117282  117286  117288  117292  117294  117296  117297  117298  117300  117301  117302  117304  117306  117310  117312  117316  117318  117322  117328  117330  117336  117340  117342  117346  117352  117358  117360  117366  117370  117372  117378  117382  117388  117396  447090 

2.饮食中如果长期缺乏维生素A就可能患

  A.佝偻病                        B.坏血病

  C.夜盲症                           D.脚气病

试题详情

一、选择题

1.在胎儿生长发育的过程中,母亲与胎儿之间进行物质交换的场所是

  A.子宫                          B.胎盘

  C.输卵管                         D.胚胎

试题详情

美国独处一方,远离他国,这种地理住置允许并促使美国能推行一条独特的外交路线,使好战国家不能从美国获得好处,也不敢轻易冒险向美国挑衅,美国因此可以在正义的指引下,依照自己的利益,在和平和战争问题上做出自己的抉择。 。

                  ——摘自李庆余《美国外交史——往往从独立战争至2004年》

(1)依据材料概括华盛顿孤立主义的特点。(9分)

(2)依据材料并结合所学知识,分析华盛顿孤立主义形成的背景。(6分)

 

48. (15分)[中外历史人物评说]

材料  1865年至1877年,在俄英的幕后支持下,中亚浩罕汗国派阿古柏侵八新疆,史称“阿古柏之乱”。且俄国又乘乱出兵侵占伊犁,使新疆危机雪上加霜。对此,权倾朝鲜的三朝重臣李鸿章认为,新疆乃化外之地,茫茫沙漠,赤地千里,土地瘠薄,人烟稀少。收复只会拖累国家财政,并且有伤与俄国人的“和气”。左宗棠力争:天山南北两路粮产丰富,瓜果累累,牛羊遍野,牧马成群;煤、铁、金、银、玉石藏量极为丰富;所谓千里荒漠,实为聚宝之盆。并且不收复新疆,将使国家军事安全严重受损,还容易纵容外国人得寸进尺!终于清廷让他统兵出征,他命人抬棺行军,以示死战决,心。

   1976年,左宗棠率清军分三路进入新疆。他采取“先北后南,缓进速战”的正确方针,先收复了乌鲁木齐及周围地区,然后攻占吐鲁番,打开了通向南疆的门户。清军得到新疆当地各族人民的支持和拥护。进军南疆时,当地各族人民纷纷拿起武器,加入战斗,痛击阿古柏军队。1878年,除伊犁以外,新疆重新回到祖国的怀抱。

                  一一摘编自网易:《收复中国六分之一国土的将军左宗棠》

(1)根据材料概括李鸿章和左宗棠在收复新疆问题上不同的态度。(6分)

 

(2)依据材料并结合所学知识,分析左宗棠能够收复新疆的原因。(9分)

 

试题详情

(二)选考题:共45分。请考生从给出的3道物理题、3道化学题、2道生物题中每科任选一题作答,并用2B铅笔在答题卡上把所选题目的题号方框图黑。注意所做题目都题号必须与所涂题目的题号一致,在答题卡选大区域指定位置答题。如果不涂、多涂均按所答第一题评分;多答则每学科按所答的第一题评分。

33.[物理3-3]

(1)下列说法正确的是_______(填入正确选项前的字母).

A.当一定量气体吸热时,其内能可能减小

B.玻璃、石墨和金刚石都是晶体,木炭是非晶体

C.单晶体有固定的熔点,多晶体和非晶体没有固定的熔点

D.当液体与大气相接触时,液体表面层内的分子所受其他分子作用力的合力总是指向液体内部

E.气体分子单位时间内与单位面积器壁碰撞的次数,与单位体积内气体的分子数和气体温度有关

(2)如图,体积为V、内壁光滑的圆柱形导热气缸顶部有一质量和厚度均可忽略的活塞;气缸内密封有温度为2.4T0、压强为1.2p0的理想气体.p0T0分别为大气的压强和温度.已知:气体内能U与温度T的关系为UαTα为正的常量;容器内气体的所有变化过程都是缓慢的.求:

①气缸内气体与大气达到平衡时的体积V1

②在活塞下降过程中,气缸内气体放出的热量Q.

 

34.[物理3-4])

(1)位于介质Ⅰ和Ⅱ分界面上的波源S,产生两列分别沿x轴负方向与正方向传播的机械波,如图所示.若在两种介质中频率及传播速度分别为f1f2v1v2,则________.

A.f1=2f2v1v2       B.f1f2v1=0.5v2

C.f1f2v1=2v2               D.f1=0.5f2v1v2

(2)如图所示,顶角为30°的等腰玻璃三棱镜ABC,光线由空气垂直AB面进入棱镜,由AC面进入空气中,其折射光线与入射光线之间的夹角为30°,求棱镜的折射率、光在这种玻璃中的传播速度.(已知光在真空中速度为3.0×108m/s)

35.[物理3-5]

(1)下列物理实验中,能说明粒子具有波动性的是________.

A.通过研究金属的遏止电压与入射光频率的关系,证明了爱因斯坦方程的正确性

B.通过测试多种物质对X射线的散射,发现散射射线中有波长变大的成分

C.通过电子双缝实验,发现电子的干涉现象

D.利用晶体做电子束衍射实验,证实了电子的波动性

(2)氢原子的能级如图所示.有一群处于n=4能级的氢原子,这群氢原子能发出________种谱线,发出的光子照射某金属能产生光电效应,则该金属的逸出功应小于________eV.

(3)近年来,国际热核聚变实验堆计划取得了重大进展,它利用的核反应方程是H+H→He+n.若H和H迎面碰撞,初速度大小分别为v1v2.H、H、He、n的质量分别为m1m2m3m4,反应后He的速度大小为v3,方向与H的运动方向相同.求中子n的速度(选取H的运动方向为正方向,不计释放的光子动量,不考虑相对论效应).

36.[化学选修—化学与技术](15分)

(1)粗盐中常含有泥沙和Ca2、Mg2、Fe3、SO42等杂质,必须精制后才能供电解使用。精制时,粗盐溶于水过滤后,还要加入的试剂分别为①Na2CO3、②HCl(盐酸)③BaCl2,这3种试剂添加的合理顺序是______________(填序号)

(2)工业生产硫酸时,利用催化氧化反应将SO2转化为SO3是一个关键步骤。选择适宜的催化剂,是否可以提高SO2的转化率?     (填“是”或“否”),是否可以增大该反应所放出的热量?

     (填“是”或“否”)。

(3)水是一种重要的自然资源,天然水在净化处理过程中加入的净水剂可以是     

其净水作用的原理是                  

(4)硬度为1°的水是指每升水含10mgCaO或与之相当的物质(如7.1mgMgO)。若某天然水中c(Ca2+)=1.2×103mol·L-1,c(Mg2)=6×104mol·L-1,则此水的硬度为_______。

(5)若(4)中的天然水还含有c(HCO3-)=8×104mol·L-1, 现要软化10m3  这种天然水, 则需先加入 Ca(OH)2__________g,后加入Na2CO3___________g。

37.[化学——物质结构与性质](15分)

ⅢA族的硼、铝、镓、铟、铊等元素在化合物中通常表现出+3价,含ⅢA族元素的化合物在研究和生产中有许多重要用途。请回答下列问题。

(1)基态B原子核外电子排布式      ,在BF3分子中中心原子B的轨道杂化方式    

(2)氯化铝(AlCl3)为无色透明晶体或白色而微带浅黄色的结晶性粉末,密度2.44g/cm³,熔点190℃(2.5大气压),沸点182.7℃,在177.8℃升华,氯化铝的蒸气或溶于非极性溶剂中或处于熔融状态时,都以共价的二聚成Al2Cl6形式存在,则氯化铝属于     晶体(填所属晶体类型)

(3)砷化镓属于第三代半导体,它能直接将电能转变为光能,砷化镓灯泡寿命是普通灯泡的100倍,而耗能只有其中10%,推广砷化镓等发光二极管(LED)照明,是节能减排的有效举措,砷化镓晶胞结构与金刚石相似。试回答下列问题:

 ①下列说法正确的是    (填序号)。      

A.砷化镓晶胞结构中Ga原子的轨道杂化 方式为sp3   B.第一电离能:As<Ga

C.电负性:As<Ga                              D.砷和镓都属于p区元素

②砷化镓是将(CH3)3Ga和AsH3用MOCVD方法制备得到,该反应在700℃进行,反应的方程式为                

(4)ZnS在荧光体、光导体材料、涂料、颜料等行业中应用广泛。立方ZnS晶体结构如下图所示,其晶胞边长为540.0pm,密度为         g/cm3。(a为S2-,b为Zn2+)(阿伏加德罗常数:NA ·mol1

38.[化学选修-有机化学基础](15分)

芳香族化合物A的分子式为C9H10O2,A在光照条件下生成的一溴代物B,可发生如下转化关系

(无机产物略):

 

 

 

 

 

 

 

 

 

其中K物质与氯化铁溶液发生显色反应,且环上的一元取代物只有两种结构。

已知:

①当羟基与双键碳原子相连时,易发生如下转化:RCH=CHOH→RCH2CHO;

②-ONa连在苯环上不会被氧化。

请回答下列问题:

(1)F与I中具有相同的官能团,检验该官能团的试剂是      

(2)上述变化中属于水解反应的是   (填反应编号)。

(3)写出结构简式,A:      ,G:       

(4)写出下列反应的化学方程式:

反应①:              

K→M的反应方程式:           

(5)同时符合下列要求的A的同分异构体有  种。

I.含有苯环    II.能与碳酸氢钠溶液反应生成气体   III.苯环上的一氯代物只有两种

39.[生物——选1生物技术实践](15分)

人和哺乳动物的尿中含有尿素,大量尿素的存在会对环境造成污染。土壤中有些细菌含有脲酶,可通过降解尿素作为其生长的氮源。现对土壤中的这类细菌进行分离实验,请回答下列问题:

(1)分离培养细菌时必须进行无菌操作,包括培养基和各种器皿都必须是无菌的,常用的灭菌方法有     (至少答2种)。

  (2)将样液进行一系列的梯度稀释,然后接种培养。在稀释土壤溶液的过程中每一步都要在       旁进行操作。接种后的培养皿     于37℃的      中培养。

(3)用含有酚红指示剂的培养基筛选能分泌脲酶的细菌,从功能上划分该培养基属于

     培养基。若培养基中存在有分解尿素的细菌,其菌落周围会出现红色环带,这是由于尿素被分解产生的      使pH升高,酚红指示剂产生的颜色变化,从而证明这一菌株可以尿素为氮源。变色区域越大,表明该菌株利用尿素的能力       

(4)与全营养培养基中的菌落相比,以尿素为氮源的培养基中菌落数   

A.多   B.少   C.相等   D.几乎为零

40.[生物――选修3现代生物科技专题](15分)英国纯血马是世界顶级马术比赛的常用马种,其数量少,生育力低。现代生物工程能有效提高优质马的生育效率。请根据这则材料回答下列问题:

⑴用          激素处理适龄纯血母马,使其一次性排出比自然情况下多几倍到几十倍的卵子。采集的卵母细胞人工培育至减数第二次分裂的中期,该时期在显微镜下可观察到次级卵母细胞和         

⑵体外受精前要对来自雄性附睾的精子进行一定的处理,使

           

⑶为取得同卵双胎或多胎,可以在胚胎发育的            期用机械方法将胚胎分割。

⑷随着动物克隆技术的发展,人们可以将纯血马的       移人其他马的       细胞中,将其激活并发育成胚胎,植入代孕母马体内。为保证胚胎移植的成功,胚胎的供体和受体应保持                

⑸克隆技术在带来巨大社会效益的和经济效益的同时,也对人们的传统观念造成极大冲击,我国政府的态度是禁止             性克隆人。

 

2014考前模拟物理试题

14 B  15A  16C  17D  18D   19AD  20ACD  21CD 

22.(7分) (1)左 (2)1.88 1.84 (3)重物只受重力作用,在误差允许范围内,重物减小的重力势能等于增加的动能,即机械能守恒

23.(8分) (1)EI(Rr) (2)最大值 25 (3)6.0(5.8~6.2均可) 2.4(2.3~2.5均可)

24.(13分)

解答:设小球下落h所用时间为t1,经过圆桶所用时间为t2,则:

小桶到达圆桶表面时,圆孔也应该到达同一位置,所以有:

其中n=1,2,3……

其中k=1,2,3……

由以上解得

25.(19分)

[答案] (1)0.1m (2)Q点以上0.16m的范围内

[解析] (1)qvBm

R=0.1m

(2)粒子在磁场中通过的位移刚好等于磁场区域直径时,其速度方向偏转的角度最大,能打到屏上的点最高,由于R=2r,如图ΔOPL为等边三角形,可判断出粒子在磁场中的运动轨迹所对圆心角为60°(图上标出圆心角为60°同样给分)

设从L点射出磁场的粒子能打在屏上的N点,LN的反向延长线交PQM点,由对称性可知:

PMRtan30°

MQPQPM

NQMQtan60°

联立上式可得:NQ=(3-2)r≈0.16m

当磁场区域转动90°时,粒子刚好没有进入磁场,沿直线运动打在屏上Q点,所以粒子能打在屏上Q点以上0.16m范围内.

 

 

[选做部分]

33.[答案] (1)  ADE   (2)①V ②p0VαT0

 (2)①在气体由压强p=1.2p0下降到p0的过程中,气体体积不变,温度由T=2.4T0变为T1.由查理定律得=①

在气体温度由T1变为T0的过程中,体积由V减小到V1,气体压强不变.由盖·吕萨克定律得=②   V1V

②在活塞下降过程中,活塞对气体做的功为Wp0(VV1)④

在这一过程中,气体内能的减少为ΔUα(T1T0)⑤

由热力学第一定律得,气缸内气体放出的热量为QW+ΔU

由②③④⑤⑥式得Qp0VαT0

34.[答案] (1)C (2) ×108m/s

[解析] (2)由图得,入射角为30°,折射角为60°,由光的折射定律得=n

n=       v==×108m/s

35.[答案] (1)D (2)6 12.75    (3)

[解析] 选项A解释光电效应现象,不能说明粒子的波动性;选项B是康普顿效应,说明X射线具有粒子性;选项C干涉现象说明电子具有波动性;选项D衍射现象说明电子具有波动性.

(2) 一群处于n=4能级的氢原子跃迁时共有C=6种谱线.能产生光电效应,说明能量最大的光子一定能产生光电效应,所以逸出功应小于ΔEE4E1=12.75eV.

(3)设中子的速度为v,由动量守恒定律有

m1v1m2v2m3v3m4v   解得v

 

试题详情

三、非选择题:包括必考题和选考题两部分。第22题~第32题为必考题,每个试题考生都必须作答。第33题~第40题为选考题,考生根据要求作答。

(一)必考题(共129分)

 

22.(7分)在用打点计时器验证机械能守恒定律的实验中,质量m=1.00kg的重物自由下落,打点计时器在纸带上打出一系列点.如图所示为选取的一条符合实验要求的纸带,O为第一个点,ABC为从合适位置开始选取的三个连续点(其他点未画出).已知打点计时器每隔0.02s打一次点,当地的重力加速度g=9.80m/s2.那么:

(1)纸带的________端(选填“左”或“右”)与重物相连;

(2)根据图上所得的数据,从O点到B点,重物重力势能减少量ΔEp=________J,动能增加量ΔEk=________J(结果取3位有效数字);

(3)实验的结论是___________________________________________。

23.(8分)某实验小组要测定一电源的电动势E和内电阻r。实验器材有:一只DIS电流传感器(可视为理想电流表,测得的电流用I表示),一只电阻箱(阻值用R表示),一只开关和导线若干.该实验小组同学设计了如图甲所示的电路进行实验和采集数据.

 

 

 

 

 

 

 

(1)小组设计该实验的原理表达式是________(用ErIR表示);

(2)小组在闭合开关之前,应先将电阻箱阻值调至________(选填“最大值”、“最小值”或“任意值”),在实验过程中,将电阻箱调至图乙所示位置,则此时电阻箱接入电路的阻值为______Ω;

(3)小组根据实验采集到的数据作出如图丙所示的-R图象,则由图象求得,该电源的电动势E=________V,内阻r=________Ω(结果均保留两位有效数字).

24.(13分)如图所示,一个水平放置的圆桶正以中心轴匀速运动,桶上有一小孔,桶壁很薄,当小孔运动到桶的上方时,在孔的正上方h处有一个小球由静止开始下落,已知圆孔的半径略大于小球的半径,为了让小球下落时不受任何阻碍,h与桶的半径R之间应满足什么关系(不考虑空气阻力)?

 

 

25.(19)许多仪器中可利用磁场控制带电粒子的运动轨迹.在如图所示的真空环境中,有一半径r=0.05m的圆形区域内存在磁感应强度B=0.2T的匀强磁场,其右侧相距d=0.05m处有一足够大的竖直屏.从S处不断有比荷=1×108C/kg的带正电粒子以速度v=2×106m/s沿SQ方向射出,经过磁场区域后打在屏上.不计粒子重力.求:

 

(1)粒子在磁场中做圆周运动的轨迹半径;

(2)绕通过P点(P点为SQ与磁场边界圆的交点)垂直纸面的轴,将该圆形磁场区域逆时针缓慢移动90°的过程中,粒子在屏上能打到的范围.

26.(14分)某课外活动小组选用下列实验装置测定工业原料气(含SO2、N2、O2)中SO2的含量。

(1)若原料气从左向右流时,上述装置连接的顺序是:原料气→____________(填a、b、c、d、e)。

(2)当装置②中出现_______                  _(填现象)时,立即停止通气。

(3)你认为下列试剂中,可以用来代替试管中的碘的淀粉溶液的是____________。(填编号)

A.酸性KMnO4溶液  B.NaOH溶液  C.溴水  D.氨水

(4)若碘溶液的浓度为0.05 mol/L,体积为 20 mL,收集到的N2与O2的体积为297.6 mL(已折算为标准状况下的体积),SO2的体积分数为____________。

(5)某同学认为SO2和Cl2都有漂白性,二者混合后的漂白性会更强,他们将SO2和Cl2同时通入到品红溶液中,结果褪色效果没有预期那样快。为了探讨SO2和Cl2按1∶1通入的漂白效果,他们设计了如下实验装置。

①实验室制备氯气的离子方程式为:                          

②实验开始后,乙装置中出现的现象是                  

③用离子方程式表示乙中产生该现象的原因:               

 

27.(14分)硅孔雀石是一种含铜的矿石,含铜形态为CuCO3·Cu(OH)2和CuSiO3·2H2O,同时含有SiO2、FeCO3、Fe2O3等杂质。以硅孔雀石为原料制备CuSO4·5H2O晶体的流程如下图所示:

回答下列问题:

(1)步骤①中,双氧水的作用(用离子方程式表示):              

(2)步骤②的目的是调节溶液的pH,试剂A宜选用       (填序号)

A.稀硫酸 B.NaOH溶液 C.氨水   D.CuO    常温下Fe(OH)3的Ksp=1×10-38,若要将溶液中的Fe3+沉淀完全,必需将溶液pH调节至    

(3)步骤③中由滤液b获得CuSO4·5H2O晶体需要经过         、过滤、洗涤、干燥等操作。

(4)利用副产品制备Na2CO3时,应向NaCl溶液中先通入(或先加入)  (填化学式)。

(5)为充分利用母液,某学生利用电解原理设计方案回收铜(如图所示)。铜将在    (填“A”或“B”)极析出。

(6)工业上利用废铜、废酸(含硝酸、硫酸)为主要原料也可以制备硫酸铜晶体。某含有C(HNO3)=2mol/L,C(H2SO4)=4mol/L的废酸混合液100ml(不含其它酸或氧化剂),最多能制备硫酸铜晶体的质量为    克。

 

28.(15分)运用化学反应原理研究NH3的性质具有重要意义。回答下列问题:

(1)已知①4NH3(g)+3O2(g)=2N2(g)+6H20(g)  △H=-1266.8kJ/mol

②N2(g)+O2(g)=2N0(g)  △H=+180.5kJ/mol

写出氨高温催化氧化的热化学方程式:                        

(2)氨气、空气可以构成碱性燃料电池,其电池反应原理为4NH3+3O2=2N2+6H2O。则负极的电极反应式为:                    

(3)恒容密闭容器中,合成氨反应的平衡常数K值和温度的关系如下:

 

 

温度/℃
200
300
400
K
1.0
0.86
0.5

 

 

 

①由上表数据可知,该反应为      反应(“吸热”或“放热”)

②理论上,为了增大平衡时H2的转化率,可采取的措施是        (填字母序号)

  a . 增大压强   b. 增大氢气浓度   c.升高温度   d.及时分离出产物中的氨

③400℃时,测得某时刻氨气、氮气、氢气的物质的量浓度分别为3mol/L、2mol/L、1mol/L时,该反应的v正)    v逆)(填“>”、“=”或“<”)。

(4)25℃时,将pH=3的盐酸和pH=11的氨水等体积混合,溶液中离子浓度由大到小的顺序为:

                           

29.(10分)Ⅰ.下图中甲为测定光合作用速率的装置,在密封的试管内放一新鲜叶片和二氧化碳

缓冲液,试管内气体体积的变化可根据毛细刻度管内红色液滴的移动距离测得。在不同强度的光照

条件下,测得的气体体积如图乙所示。图丙为叶肉细胞中有关细胞器的结构模式图。(注:假设在

不同光照强度下,植物叶片的呼吸速率不变。)

(1)标记实验开始时毛细刻度管中液滴所在位置。实验时,当光照强度由0渐变为2.5千勒克斯时

(不同光照强度照射的时间相等),液滴所在位置应在实验初始标记的________(填左侧或者右侧)

位置处。

(2)对叶片来说,光照强度为10千勒克斯时对应图丙中存在的箭头有(填字母)_________。

(3)在图乙中,光照强度为5千勒克斯时,植物1小时光合作用产生的气体量为______毫升

(假设光照强度的变化不会改变植物体的温度)。 

Ⅱ.图A表示某绿色植物光合作用中光照强度和氧气释放速率的关系。图B表示该植物在不同温度

(15oC和25oC)下,某一光照强度时氧气量和时间的关系,请据图回答:

当图B纵坐标分别表示光合作用所产生氧气的净量和总量时,则它们分别是光照强度为____________和_________千勒克斯下的测定值。

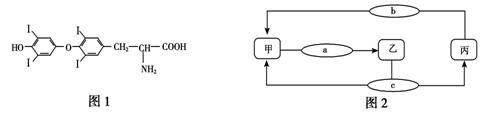
30.(9分)图1为甲状腺激素的结构简式,图2为人和高等动物体内存在的甲状腺激素的分级调节示意图。甲、乙、丙表示不同的器官,a、b、c表示三种不同的激素。据图回答下列问题:

(1)图2中的甲、乙器官分别是_______、_______。

(2)经研究发现,促甲状腺激素释放激素为三肽化合物,促甲状腺激素为糖蛋白。向用a、b、c三种激素分别配制的溶液中加入双缩脲试剂后,溶液不会变紫色的是________。三种激素中不能口服的是激素________,在人体内分布最广的是激素________的靶细胞(用字母表示)。

(3)若已知大白鼠体内激素c的含量明显低于正常值,为判定导致这种状况的病变器官是甲还是乙,技术人员采取了两种检测方案:

①抽取大白鼠的血液,检测其中激素________的含量,若该激素含量正常,说明病变的是器官乙。

②注射激素________,然后检测血液中激素a、b的含量是否正常。若其含量正常,也能说明病变的器官是乙。

31.(10分)已知果蝇是XY型性别决定,体细胞中含一条X染色体的是雄性(如6+XY,6+X,6+XYY,其中6+X不育),含两条X染色体的是雌性(如6+XX,6+XXY,都可育),含3条或0条X染色体表现为胚胎期致死,有Y或无Y染色体都不影响性别。现有一只基因型为XrXr的白眼雌果蝇和基因型为XRY的红眼雄果蝇杂交,F1中出现白眼雄果蝇和红眼雌果蝇,还出现少数白眼雌果蝇和不育的红眼雄果蝇。如将F1中白眼雌果蝇与基因型为XRY的红眼雄果蝇杂交,F2中出现白眼雄果蝇和红眼雌果蝇,又出现少数白眼雌果蝇和可育的红眼雄果蝇。

(1)F1中白眼雄果蝇、红眼雄果蝇的基因型分别是             

(2)F1中红眼雄果蝇的X染色体来自亲本中的    蝇,白眼雌果蝇的X染色体来自亲本中的    蝇,并将其传给F2中表现型为            的果蝇。

(3)F2中红眼雌果蝇的基因型是       

32. (10分)下表是生态学家收集到的某湖区几种生物的食物关系(“√“表示存在食物关系)。

请据下表和图回答有关问题:

 被食者
捕食者
绿藻
螺蛳
水草
鲫鱼
轮虫
螺狮

 

 
 
鲫鱼



 

轮虫

 
 
 
 

 

 

 

 

 

 

(1)该生态系统中共有     条食物链,在该食物网中鲫鱼占有       个营养级。

(2)若由于某种原因螺蛳全部死亡,该湖泊生态系统的抵抗力稳定性将     

(3)假如鲫鱼的食物有1/5来自轮虫,1/5来自螺蛳,1/5来自水草,2/5来自绿藻,能量流动

效率按10%计算,该鲫鱼增重2 kg需消耗绿色植物    kg。

(4)上面右图是对某地引进经济鱼进行种群密度调查后绘出的种群增长速率曲线。调查该经济

鱼种群密度常用的方法是     ,t0、t1、t2三个时间相比该经济鱼的种群数量最大的

时间是      

(5)鸡粪是优良的鱼类饲料,适量的投入可以给鱼提供食物,从而提高鱼的产量。鸡粪中的碳

元素只能以     形式流向鱼。向河流中少量投入鸡粪对生态系统不产生明显的影响,这是

因为该生态系统具有     

(6)据研究表明绿藻含有人体所需的几乎全部的营养成分,还可以提高人体的免疫力和抵抗力。

绿藻的这方面价值属于   使用价值;绿藻在维持生态系统稳定性方面的价值属于    使用

价值(该小题的两空只需填写“直接”、“间接”或者“潜在”)。

试题详情

21.一质量为m的滑块在粗糙水平面上滑行,通过频闪照片分析得知,滑块在最开始2s内的位移是最后2s内位移的两倍,且已知滑块最开始1s内的位移为2.5m,由此可求得(   )

A.滑块的加速度为5m/s2

B.滑块的初速度为5m/s

C.滑块运动的总时间为3s

D.滑块运动的总位移为4.5m

第Ⅱ卷

试题详情

20.如图所示,E为电池,L是直流电阻可忽略不计、自感系数足够大的线圈,D1D2是两个完全相同的灯泡,S是控制电路的开关.对于这个电路,下列说法正确的是(   )

A.刚闭合S的瞬间,灯泡D1、D2的亮度相同

B.刚闭合S的瞬间,灯泡D2比灯泡D1

C.闭合S,待电路达到稳定后,D1熄灭,D2比S刚闭合时亮

D.闭合S,待电路达到稳定后,再将S断开,D2立即熄灭,D1先更亮后逐渐变暗.

试题详情

19.下面关于多用电表的使用中出现的一些与事实不相符合的现象有(   )

A.待测电阻不跟别的元件断开,其测量值将偏大

B.测量电阻时,用两手碰表笔的金属杆,其测量值偏小

C.测量电阻时,如果电路不和电源断开,可能出现烧坏表头的情况

D.用多用电表测量60W灯泡的电阻,其阻值比用额定电压和额定功率算出的电阻大

试题详情

18.我国未来将建立月球基地,并在绕月轨道上建造空间站,如图所示,关闭动力的航天飞机在

月球引力作用下向月球靠近,并将与空间站在B处对接,已知空间站绕月轨道半径为r,周期为T,引力常量为G,下列说法中错误的是(   )

A.图中航天飞机正加速飞向B

B.航天飞机在B处由椭圆轨道进入空间站轨道必须点火减速

C.根据题中条件可以算出月球质量

D.根据题中条件可以算出空间站受到月球引力的大小

试题详情

17.如图所示,一理想变压器原线圈匝数n1=1000匝,副线圈匝数n2=200匝,原线圈中接一交变电源,交变电源电压u=220sin 100πt(V).副线圈中接一电动机,电阻为11Ω,电流表2示数为1A.电表对电路的影响忽略不计,则(   )

A.此交流电的频率为100Hz

B.电压表示数为220V

C.电流表1示数为5A

D.此电动机输出功率为33W

试题详情


同步练习册答案