0  182062  182070  182076  182080  182086  182088  182092  182098  182100  182106  182112  182116  182118  182122  182128  182130  182136  182140  182142  182146  182148  182152  182154  182156  182157  182158  182160  182161  182162  182164  182166  182170  182172  182176  182178  182182  182188  182190  182196  182200  182202  182206  182212  182218  182220  182226  182230  182232  182238  182242  182248  182256  447090 

35.(8分)近年来,我国许多地区上空漂浮着大量极细微的尘粒,造成空气浑浊,大气能见度较低。人们把这种天气现象称为灰霾天气。

材料一:下图是我国1971-2000年平均年灰霾天气日数分布图(天)。

材料二:下图是我国各区域1971-2000年平均多年灰霾天气日数月际变化统计图。

分析上述材料,完成下列问题。

(1)据材料一,我国东北、华北和西北地区灰霾天气日数由多到少的排列顺序是  (2分)

(2)我国大部分地区灰霾天气发生的季节多出现在     。(2分)

A.炎热季节          B.寒冷季节       C.雨季          D.旱季

(3)分析我国灰霾天气时空分布的形成原因。(4分)

    以下36题、37题为选做题,只能选做一题。

试题详情

34.(14分)我国长三角、珠三角和京津冀三大都市圈是我国经济最发达、城市化水平最高的地区。为加快它们的发展,国务院先后推出了《关于进一步推进长江三角洲地区改革开放和经济社会发展的指导意见》、《珠江三角洲地区改革开放发展规划纲要》和加快天津新港建设等系列文件,并作为国家发展战略的重点,把三大都市圈打造成为全球首屈一指的都市圈。

材料一:下图是三大都市圈地理位置区位示意图。

材料二:表二是三大都市圈投资、出口、消费占GDP比重表。

表二  三大都市圈投资、出口、消费占GDP的比重。   单位:%

          1987-2006年              1996年-2006年
都市圈    投资额/  出口额/   消费额/    投资额/  出口额/   消费额/

20090401

 
        GDP   GDP    GDP      GDP    GDP    GDP

长三角都市圈  33.00   32.33    35.37     36.70    41.24   32.63
珠三角都市圈  30.10   92.94    36.08     29.88    95.35   33.50
京津冀都市圈  36.74   14.11    37.78     39.99    15.96   35.00

材料三:表三是三大都市圈人力资源和科技活动比较表。

       表三  三大都市圈地区的人力资源和科技活动比较

 
 
年份
京津冀
长三角
珠三角
每万人拥有在校大学生数
授权专利中发明比例(%)
流动人口占全国比重(%)
每万人拥有在校大学生数
授权专利中发明比例(%)
流动人口占全国比重(%)
每万人拥有在校大学生数
授权专利中发明比例(%)
流动人口占全国比重(%)
2000
73.34
14.12
--
97.69
4.61
--
56.37
1.65
--
2005
177.07
27.56
14.63
228.17
9.61
22.07
166.85
5.08
40.57

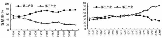
材料四:下图是我国产业对城市化的贡献率(a)和世界发达国家产业对城市化的贡献率统计图(b)。

分析上述材料,完成下列问题。

(1)三大都市圈成为我国经济水平、城市化水平最高的地理位置区位优势条件是  

      。(2分)

(2)从三大都市圈经济增长方式(投资、出口、消费)来看,外向经济主导型的是   ,内向型的是    。在全球金融海啸中,三大都市圈受影响由大到小的排序是    。(3分)

A.长三角>珠三角>京津冀               B.珠三角>长三角>京津冀

C.长三角>京津冀>珠三角               D.京津冀>长三角>珠三角

(3)三大都市圈中,科学技术在经济发展中贡献最大的是    ,劳动力资源在经济发展中贡献最大的是    。珠三角能够吸引我国巨大的流动人口的原因是    。(6分)

(4)三大都市圈在经济和城市发展过程中,与发达国家相比,存在的主要问题是    。(3分)

试题详情

33.(14分)从1993年开始,我国逐步成为世界最主要石油进口国。在经济全球化的今天,能源资源的全球化配置是大势所趋。我国石油(原油)资源区域间的流动是区域资源调配和区域协调发展的重要保证。

材料一:下图是我国各区域石油资源平衡类型图。

材料二:下图是我国石油资源位势格局图。

材料三:下图是我国石油资源流场分布图。

材料四:2008年12月国家颁布的《珠江三角洲地区改革发展规划纲要》中指出:珠三角要集约发展石化产业,集中力量在深水港口条件好、环境承载能力相对较大的沿海地区,……,力争形成世界先进水平的特大型石油化工产业基地。

分析上述材料,完成下列问题。

(1)在我国石油资源平衡类型中,石油资源生产省区一般属于     的类型,而石油资源的消费省区则属于一    的类型。  (2分)

(2)我国石油资源位势总体分布格局具有    的特点,因此,我国石油资源最主要的流动方向是    。  (4分)

(3)当前,在我国石油资源流场中,石油运输的主要方式是      。(2分)

     A.铁路运输   B.管道运输       C.远洋运输

D.内河运输   E.公路运输       F.航空运输

(4)试指出在全球化背景下,广东省在我国石油资源流场中的地位,分析其能够发展成为特大型石油化工产业基地的优势区位条件。(6分)

试题详情

32.(16分)在流域的开发过程中,人口数量、资源开发、经济发展、环境保护必然相互联系、相互制约,并影响流域的可持续发展趋势。

材料一:下图是汾河上游流域的区位以及地形示意图。

材料二:表一是汾河上游流域自西汉到清代人口、经济以及环境状况表。

表一  汾河上游流域自西汉到清代人口、经济和环境发展状况
  项   目     西汉     唐     金      明      清
人口数量(万)   3      5.9     7.8      5.9     24.4
人口密度(人/km2) 0.38     0.75     0.99     0.75     3.09
城镇(个)     1       6      6       7      7
耕地面积(万顷)  1.65     3.25     4.29     3.13     10
森林面积(万顷)  5.6      4      3.2      1.2     0.29
覆盖率(%)    70      50     40       15      4
畜牧业程度(%)  100      90     70      20      10
工矿业(个)    0       1      0       2      3
灾害频率(次/百年)0.1      1.2     1.3      1.5      4

分析上述材料,完成下列问题。

(1)该流域的河谷特征是                           

最主要的植被类型是            。  (4分)

A.森林              B.森林、草原     C.草原          D.草原、荒漠

(2)该流域蕴藏的矿产资源最可能是       。  (2分)

A.铁矿              B.石油          C.煤炭          D.铜矿

(3)该流域人口、经济、环境三者从可持续到不可持续发展剧变发生在    时期,人口、经济、环境之间关系发生的变化是           。(6分)

(4)该流域的地理环境恶化的主要表现是         。  (4分)

试题详情

31.(18分)在全球变暖和我国经济高速发展的背景下,我国近几十年的气候发生了明显变化,地理环境格局也发生了深刻改变。

材料一:下图是中国近50年年平均气温变化空间分布图。

材料二:下图是我国近50年年平均降水量变化空间分布图。

分析上述材料,回答下列问题。

(1)近几十年来,我国气候变暖现象存在明显的     地域差异,明显变暖的地区主要分布在    ;请指出我国东部地区气候变暖的分布规律     。  (6分)

(2)我国气候变暖较全球幅度大,其发生的原因是         。(2分)

A.太阳辐射的周期性变化               B.下垫面性质的改变 

C.火山、地震活跃                     D.工业、城市大量排放C02

(3)近几十年来,我国降水明显增加最主要分布在     地区。(2分)

(4)根据上述材料,运用已学知识分析我国近几十年气候变暖引起了哪些地理现象。(8分)

试题详情

    下图是美国农业带分布示意图,完成29-30题。

29.图中阴影农业带种植的主要作物是                                  (   )

    A.玉米                          B.小麦

    C.水果                          D.蔬菜

30.影响该农业带的主导区位因素是                                    (   )

    A.气候                          B.地形

    C.劳动力                        D.市场

试题详情

下图是我国能源保障分布区示意图,完成26-28题。

26.我国能源保障水平的分布特征是                                    (   )

    A.沿海高,内陆低

    B.西部高,东部低

    C.北部高,南部低

    D.东部高,中西低

20090401
 
27.影响我国能源保障水平分布的主要因素是                             (   )

    A.地区能源生产总量

    B.地区能源消费总量

    C.地区国民生产总量

    D.地区国民人口总量

28.M地区能源保障水平高,主要是因为                                (   )

    A.煤炭资源丰富

    B.石油资源丰富

    C.天然气资源丰富

    D.水能资源丰富

试题详情

下图是我国渤海某海岸地表物质分布示意图,判断24-25题。

24.该地区的地貌有                                       (   )

    A.新月形沙丘                      B.海蚀崖

    C.三角洲平原                      D.风蚀磨菇

25.塑造该地区地貌的主要外力作用是                               (   )

    A.风力作用                      B.波浪侵蚀作用

    C.河流沉积作用                   D.冰川作用

试题详情

    下图是我国淮河气温、降水与径流深度关系示意图,完成22-23题。

22.在降水量不变的情况下,径流与气温的关系,正确的是                  (   )

    A.气温升高,径流减少

    B.气温降低,径流减少

    C.气温升高,径流增加

    D.气温降低,径流增加

23.在气温不变的情况下,径流与降水的关系,正确的是                    (   )

    A.降水增加,径流减少

    B.降水减少,径流增加

    C.降水增加,径流增加

    D.降水减少,径流减少

试题详情


同步练习册答案