0  183367  183375  183381  183385  183391  183393  183397  183403  183405  183411  183417  183421  183423  183427  183433  183435  183441  183445  183447  183451  183453  183457  183459  183461  183462  183463  183465  183466  183467  183469  183471  183475  183477  183481  183483  183487  183493  183495  183501  183505  183507  183511  183517  183523  183525  183531  183535  183537  183543  183547  183553  183561  447090 

55.(15分)右图是人们利用黄色短杆菌合成赖氨酸的途径。请回答下列问题:

  (1)黄色短杆菌中含有遗传物质的结构分别是            。

  (2)在生产实际中,人们通过黄色短杆菌的选育培养,大量生产赖氨酸的过程叫       

     赖氨酸是黄色短杆菌的      产物。

    (3)含C、H、O、H的某相对大分子化合物最多可以为黄色短杆菌提供哪些营养要素物质?               。

  (4)用黄色短杆菌生产赖氨酸,培养基属于(   )(多选)

     A.液体培养基         

B.合成培养基

     C.固体培养基         

D.天然培养基

  (5)在进行菌种鉴定时,若想确认一下其中是否含有大肠杆菌,往往向培养基中加入

        试剂,如果有,则菌落呈     色,并带有      。

  (6)如果大量增加培养基中的碳源,培养基中有无菌落的形成?为什么?

                                        

  (7)如何使黄色短杆菌能不断积累赖氨酸,请写出一种方法:              

                                        。

试题详情

53.(8分)选用大豆种子贮藏蛋白基因为目的基因,采用基因工程技术改良玉米的品质时,进行基因操作的“四步曲”是              、           、

                                    。其中,该目的基因与作为          的质粒组装成为重组DNA分子时,需要用       

   和DNA连接酶。为便于筛选获得了目的基因的受体细胞所用的质粒通常具有    

                    。将目的基因导入离体的玉米体细胞后,需要采用

                   技术才能获得具有目的基因的玉米植株。

  54.(7分)根据细菌生长曲线回答下列问题:

  (1)代谢活跃、体积增长较快的是[   ]     期。

  (2)常作为生产菌种和科研材料的是[   ]     期。

  (3)在生产实际中,如果想得到较多的抗生素,则应在

图中     (填编号)处适当补充营养物质,以

延长该期的时间,常用的方法是       。

  (4)研究微生物的生长一般以      为单位来研究。

  (5)某些细菌的一种休眠体        是在[   ]     期形成的。

试题详情

52.(10分)下面是单克隆抗体的制备示意图,请分析回答:

   

  (1)细胞融合在生物工程中属于      工程的范围,用这种方法所得的杂交瘤细胞具有的主要特征是①           ;②              。

  (2)过程②进行的诱导方式,最常见的是采用       和        。

  (3)过程③中要不时地使用一种工具酶是        ,目的是使细胞分散开。

  (4)动物细胞培养中所培养的动物细胞大都取自                 。

     动物细胞培养液的配方通常含有葡萄糖、氨基酸、无机盐、维生素,与植物细胞培养基有所不同的是,还含有             。

  (5)动物细胞培养过程中的大多数细胞传至10代左右就会出现生长停滞现象,该培养过程称为         ,但是有极少数细胞由于遗传物质发生改变而能在培养条件下无限制地传代下去,这种传代细胞称为            。

试题详情

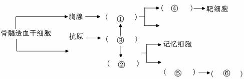
51.(10分)据图回答问题:

    

  (1)图中数字分别代表①        ,③        ,⑤        。

  (2)特异性免疫反应大体上都可以分为三个阶段:        、        、

            。

  (3)⑥的化学本质是        ,主要分布于        。

  (4)抗原进入人体以后,有的被体液中相应的抗体消灭,有的则被相应的免疫细胞消灭。

     前者称为        ,后者称为        。

试题详情

50.青霉素是一种常见的抗生素,下列菌不受青霉素影响的是          (   )

   A.细菌      B.放线菌     C.金黄色葡萄球菌 D.酶母菌

第Ⅱ卷(非选择题  共50分)

试题详情

49.关于青霉素生产的叙述,正确的是                    (   )

   A.青霉素是青霉菌生长代谢中重要的初级代谢产物

   B.用紫外线、激光、化学诱变剂处理青霉菌再经筛选的方法可以选育高产菌种

   C.发酵罐接种后必须进行灭菌处理

   D.在青霉菌生长的稳定期,活菌数不再增加,青霉素产量也不再增加

试题详情

48.下列关于微生物的说法不正确的是                    (   )

   A.细胞内的酶可分为组成酶的诱导酶两类

   B.组成酶的合成与诱导物无关

   C.酶合成的调节是一种快速、精细的调节方式

   D.诱导酶在微生物需要时就合成,不需要时就不合成

试题详情

47.用大肠杆菌生产直扰素,需要应用的生物工程的组合是           (   )

   ①基因工程     ②细胞工程     ③发酵工程     ④酶工程

   A.①②③     B.①②④     C.①③④     D.②③④

试题详情

46.下列关于微生物代谢产物的说法,正确的是                (   )

   A.先产生初级代谢产物,后产生次级代谢产物

   B.抗生素、毒素、色素等属于初级代谢产物

   C.次级代谢产物是微生物生长和繁殖所必需的,它既可存在于细胞内,也可分泌到外

界环境中去

   D.任何一种初级代谢产物的合成发生障碍都影响微生物的生命活动

试题详情

45.对细菌生长的调整期叙述不正确的是                   (   )

   A.细胞代谢活跃          

B.有大量酶的合成及ATP的形成

   C.对不良环境敏感,抗性较弱易死亡 

D.调整期长短与培养条件有关,与菌种无关

试题详情


同步练习册答案