0  185159  185167  185173  185177  185183  185185  185189  185195  185197  185203  185209  185213  185215  185219  185225  185227  185233  185237  185239  185243  185245  185249  185251  185253  185254  185255  185257  185258  185259  185261  185263  185267  185269  185273  185275  185279  185285  185287  185293  185297  185299  185303  185309  185315  185317  185323  185327  185329  185335  185339  185345  185353  447090 

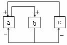
14.下图是下丘脑及其直接或间接支配的有关腺体之间的关系示意图(“+”表示促进,“-”表示抑制),下列有关说法中,正确的是(   )

A.图中c为下丘脑,b为下丘脑直接支配的腺体

B.某种b的分泌物与a的某种分泌物在生理效应上表现为协同作用

C.a是机体调节内分泌活动的枢纽

D.c具有感受刺激和传导兴奋的功能,但不具有分泌功能

试题详情

13.下图表示水平放置植物的生长情况。比较①与②、③和④处生长素的浓度及细胞生长速率,正确的一组是  (   )   

  

试题详情

12.下图为人体的生命活动调节示意图,下列有关叙述中,错误的是  (   )

A.饥饿时,人体可以通过“内外刺激→A→C→D→F”升高血糖

B.人体内的甲状腺激素可以进行H过程

C.人在寒冷的条件下,可以通过“内外刺激→A→C→D”,使甲状腺素分泌增加

D.当人的手被针刺时,可以通过“内外刺激→A→C→D→F”,使手缩回

试题详情

11.下图表示关于生长素的研究实验,X、Y是两个相同的琼脂块,以下关于实验结果的叙述哪一项是正确的(  )

A.M长得比N长         B.N长得比M长

C.M弯向一侧而N不弯曲 D.N弯向一侧而M不弯曲

试题详情

10.下列关于体液调节的叙述中,不正确的是 (   )

  A.体液调节比神经调节的反应慢

B.体液调节比神经调节作用的范围广

C.同神经调节相比,激素的调节效应消失得较快

D.体液调节的化学物质通常需要通过体液比如血浆的传送

试题详情

9.下图表示在温度基本不变而光照强度不同的条件下某植物的氧气释放量。该植物在2000lx光强度下,每小时光合作用所产生的氧气量(毫升)是(  )

A.17    B.12     C.23    D.18

试题详情

8.根据下表,判断下列有关糖代谢及其调节的叙述中,正确的是(  )

A.在肌肉、肝脏中,均可发生过程② 

B.糖尿病的病因是胰岛A细胞受损

C.胰岛A细胞分泌的激素促进④过程

D.胰岛素能促进⑤、⑥等过程的进行

试题详情

7.某人的大腿因受外伤造成同侧下肢运动障碍,但有感觉。该病人受损伤的部分可能是在反射弧的 (  )

①传入神经   ②传出神经   ③感受器   ④神经中枢   ⑤效应器

A.②④     B. ①④     C. ①②     D.②⑤

试题详情

6.下列生理活动中,神经元的胞体膜和树突膜不能发生的过程是  (   )

A.氧气进入细胞并释出二氧化碳      B.融合突触小泡

C.接受递质作用并产生兴奋         D.完成“化学信号→电信号”的转变

试题详情

5.下列生物中,与人的新陈代谢类型相同的是(  )

  A.玉米    B.根霉    C.硝化细菌     D.马蛔虫

试题详情


同步练习册答案