0  185590  185598  185604  185608  185614  185616  185620  185626  185628  185634  185640  185644  185646  185650  185656  185658  185664  185668  185670  185674  185676  185680  185682  185684  185685  185686  185688  185689  185690  185692  185694  185698  185700  185704  185706  185710  185716  185718  185724  185728  185730  185734  185740  185746  185748  185754  185758  185760  185766  185770  185776  185784  447090 

6.有关C3、C4植物的说法错误的是                                     (   )

    A.C3植物的维管束鞘细胞比C4植物的大

    B.C3植物的维管束鞘细胞中无叶绿体

    C.C3、C4植物的维管束中都有导管和筛管  

    D.C4植物的维管束鞘细胞中含有无基粒的叶绿体

试题详情

5.下列物质中不属于效应T细胞分泌释放的是                            (   )

    A.淋巴因子       B.抗体        C.白细胞介素   D.干扰素

试题详情

4.对体液免疫和细胞免疫的异同表述不正确的是                          (   ) A.体液免疫中抗体和抗原发生特异性结合,发生免疫反应 B.细胞免疫中,效应T细胞的攻击目标是已经被抗原入侵了的宿主细胞  C.有免疫反应的是效应淋巴细胞 D.效应淋巴细胞都来自骨髓造血干细胞,都在骨髓中分化、发育成熟

试题详情

3.免疫是机体的一种特殊的保护性生理功能。下列有关论述,不正确的是       (   )

    A.非特异性免疫是与生俱来的一种天然防御功能

    B.能识别抗原的细胞有:吞噬细胞、T细胞、B细胞、记忆细胞、效应B细胞

    C.一种抗原只能与相应的抗体或效应T细胞发生特异性结合

    D.过敏反应是指已免疫的机体在再次接受相同物质刺激时所发生的反应

试题详情

2.在人体的内环境中可以发生的生理过程是                              (   )

    A.丙酮酸的氧化分解

    B.食物中的淀粉经过消化分解成葡萄糖

    C.记忆细胞增殖分化成效应B细胞、产生特异性抗体与抗原结合

    D.RNA聚合酶与特定的位点结合,转录成信使RNA的过程

试题详情

1.正常情况下,以下物质属于人体内环境组成成分的是                     (   )

  (1)血红蛋白   (2)葡萄糖   (3)无机盐    (4)激素   (5)尿素

    A.(1)(2)(3)(4)(5)           B.(2)(3)(4)(5)

    C.(2)(3)(4)                   D.(2)(3)

试题详情

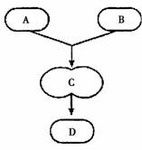
33.(7分)下图为细胞融合的简略过程,请据图回答:

  (1)若A、B是植物细胞,在细胞融合前可用纤维素酶除去细胞壁得到      ;D杂种细胞能培育成杂种植株,说明植物细胞具有      

  (2)不同种植物之间由于存在      而不能进行有性杂交,但植物体细胞杂交技术的成功为培育种间或属间杂种植株提供了新的思路。

  (3)动物细胞工程的重要目的之一是制备单克隆抗体。若A细胞为瘤细胞、B细胞为B淋巴细胞,则促融后能形成      种融合细胞(只考虑细胞两两融合),还应从中筛选出既能大量增殖又能产生     的杂交瘤细胞。与传统从血清提取的抗体相比,单克隆抗体的优点是         

  (4)制备单克隆抗体的过程中涉及到的细胞工程技术有         

试题详情

32.(7分)基因工程是在现代生物学、化学和工程学基础上建立和发展起来的,并有赖于微生物学理论和技术的发展运用。基因工程基本操作流程如下图,请据图分析回答:

  (1)图中A是        ;在基因工程中,需要在       酶的作用下才能完成剪接过程。

  (2)在下图基因工程的操作过程中,可以遵循碱基互补配对原则的步骤有     。(用图中序号表示)

  (3)从分子水平分析不同种生物之间的基因移植成功的主要原因是       ,也说明了不同生物共用一套        

  (4)研究中发现,番茄体内的蛋白酶抑制剂对害虫的消化酶有抑制作用,导致害虫无法消化食物而被杀死,人们成功地将番茄的蛋白酶抑制剂基因导入玉米体内,玉米获得了与番茄相似的抗虫性状,玉米这种变异的来源是            

  (5)科学家在某种植物中找到了抗枯萎病的基因,并用基因工程的方法将该基因导入金茶花叶片细胞的染色体DNA上,经组织培养长成的植株具备了抗病性,这说明  

试题详情

31.(8分)人体内环境稳态的维持,依赖于各个器官、系统的协调活动,而信息分子是它们之间的“语言”。请分析作答:

  (1)图中       作为反射弧中的效应器。

  (2)图中②代表        系统,D可表示的细胞是            

  (3)图中①代表        系统,垂体分泌A激素量的多少受到         

两种信息分子的调节,这样的调节方式称为         

试题详情

30.(7分)下面是一水域生态系统在一年之内的能量流动情况资料(能流单位:kJ/m2·a)。据图回答:

  (1)流经该生态系统的总能量为        kJ/m2·a。

  (2)该系统的能量传递效率在       之间,能量传递效率如此之低,是因为大部分能量         ,另有一部分能量流向         

  (3)从生产者到终极消费者,C元素主要以      形式传递。按图中能量传递效率,若肉食动物增重1kg(有机物干重),则需消耗生产者约      kg(有机物干重)。

  (4)如果该水域发生重金属污染,则上述生物中      体内的重金属含量最高。

试题详情


同步练习册答案