0  186235  186243  186249  186253  186259  186261  186265  186271  186273  186279  186285  186289  186291  186295  186301  186303  186309  186313  186315  186319  186321  186325  186327  186329  186330  186331  186333  186334  186335  186337  186339  186343  186345  186349  186351  186355  186361  186363  186369  186373  186375  186379  186385  186391  186393  186399  186403  186405  186411  186415  186421  186429  447090 

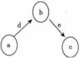
30.下图表示人体和人体细胞内某些信息传递机制的模式图,图示中箭头表示信息的传递方向,下列有关叙述中,正确的是                                              (   )

A.如果该图表示反射弧,则其中的信息都以局部电流的形式传导

  B.如果该图中的a为下丘脑、b为垂体、c为甲状腺,则c分泌的甲状腺激素对a分泌d、b分泌e具有抑制作用

  C.如果该图表示细胞中遗传信息的表达过程,则d过程只发生于细胞核中

  D.如果a表示抗原、b表示吞噬细胞和T细胞,c为B细胞,则该过程为细胞免疫

试题详情

29.以下abcd四图分别是四种生物的细胞结构图。与之有关的下列叙述中正确的是(   )

  A.a、b细胞中含有许多具膜结构的细胞器,这些细胞器的总和构成了生物膜系统

  B.a、d细胞生物能进行光合作用和有氧呼吸作用

  C.a和b细胞中的基因都遵循孟德尔遗传定律,c和d细胞中的基因不遵循遗传规律

  D.a细胞中某基因编码的蛋白质含n个氨基酸,则该基因的碱基对数为6n

试题详情

28.有位农民在自家庭院里搞了一个小生态农业,使0.25亩的庭院创收了几万元。其物质和能量流动如下图所示,下列对该系统的叙述中不正确的                             (   )

 

  A.该系统中,人的因素非常关键,其中生产者是葡萄

  B.该系统体现了物质,能量多级利用和高效转化

  C.该系统内蚯蚓和甲烷杆菌为分解者

  D.猪在其中为三级消费者

试题详情

27.在人体内T淋巴细胞                                            (   )

  A.在反应阶段,能释放出淋巴因子,加强各种有关细胞的作用来发挥免疫效应

  B.由淋巴结、脾、扁桃体等淋巴器官产生,在血液中的淋巴细胞大多为T细胞

  C.能与靶细胞密切接触,激活靶细胞内的溶菌酶将抗原直接消灭

  D.既能进行细胞免疫,又参与体液免疫,与B淋巴细胞在功能上互相支援

试题详情

26.下列四幅图中的曲线分别表示有关生物学内容,对其曲线变化描述正确的是   (   )

  A.农业上常用一定浓度的生长素类似物除去单子叶农作物中的双子叶植物杂草,甲图中①表示单子叶植物,选用的生长素类似物的浓度最好在D点左右

  B.乙图整段曲线表明,随光照强度递增,光合作用增强,呼吸作用减弱

  C.丙图B点害虫抗药个体所占百分比大于A点害虫种群抗药个体所占百分比

  D.丁图中动物乙是恒温动物,动物甲是变温动物。

试题详情

25.我国海关对入境的进口货物都进行严格检疫,严禁境外有害生物(包括虫卵和微生物)进入境内,若有害生物一旦进入境内适宜的环境中,结果是                         (   )

  ①某些有害生物的种群数量在一段时间内呈“J”型增长   

  ②其天敌数量较多

  ③增内生物多样性受到威胁                

  ④很快被淘汰

A. ①②          B. ③④         C. ①③         D. ②④

试题详情

24.与下列几种微生物有关的叙述中,正确的是                           (   )

  ①酵母菌  ②乳酸菌   ③硝化细菌   ④蓝藻          ⑤烟草花叶病毒

  A.从同化作用类型看,②是厌氧型,③④是自养型 

  B.从结构成分看,①具有成形的细胞核,⑤的遗传物质中不含胸腺嘧啶

  C.从异化作用类型看,①②是异养型,③④是自养型 

  D.从生态系统中的成分看,①②③是分解者,④⑤是生产者

试题详情

23.禽流感是禽类流感病毒引起的,是一类对家禽和人类有直接或间接危害的传染病,下列叙述中属于体液免疫的是                                   (   )

  ①注射禽流感病毒疫苗,使机体产生抗体,与入侵的禽流感病毒结合,抑制病毒的活性

  ②在人体内使禽流感病毒失去感染人体细胞的能力

  ③效应T细胞产生淋巴因子发挥免疫效应

  ④形成沉淀被吞噬细胞吞噬消化 

  ⑤效应T细胞与靶细胞密切接触,导致靶细胞裂解,释放禽流感病毒 

  ⑥将患病的家禽深埋处理

  A.①②③        B.②⑤⑥       C.①③④         D.①②④

试题详情

22.下面是某基因的部分碱基序列,该片段所编码蛋白质的氨基酸序列为“异亮氨酸--精氨酸--谷氨酸--丙氨酸--天冬氨酸--缬氨酸”(异亮氨酸的密码子是AUA)。如果箭头所指碱基对A--T缺失,该片段所编码的氨基酸序列为               (   )

  A.异亮氨酸-精氨酸--谷氨酸-丙氨酸-天冬氨酸

  B.异亮氨酸酸-精氨酸-谷氨酸--丙氨酸-谷氨酸

  C.精氨酸-谷氨酸-丙氨酸-天冬氨酸-缬氨酸  

  D.亮氨酸-精氨酸-谷氨酸--丙氨酸--缬氨酸

试题详情

21.对于人类的某种遗传病,在被调查的若干家庭中发病情况如下表。据此所作推断,最符合遗传基本规律的一项是                                   (   )

类别
I
II
III
IV
父亲
+

+

母亲

+
+

儿子
+
+
+
+
女儿
+

+

(注:每类家庭人数150-200人,表中+为发现该病症表现者,-为正常表现者)

  A.第I类调查结果说明,此病一定属于X染色体显性遗传病

  B.第II类调查结果说明,此病一定属于常染色体隐性遗传病

  C.第III类调查结果说明,此病一定属于隐性遗传病

  D.第IV类调查结果说明,此病一定属于隐性遗传病

试题详情


同步练习册答案