0  186888  186896  186902  186906  186912  186914  186918  186924  186926  186932  186938  186942  186944  186948  186954  186956  186962  186966  186968  186972  186974  186978  186980  186982  186983  186984  186986  186987  186988  186990  186992  186996  186998  187002  187004  187008  187014  187016  187022  187026  187028  187032  187038  187044  187046  187052  187056  187058  187064  187068  187074  187082  447090 

3.下列关于现代生物工程技术的应用,可以实现的是                       (   )

    A.利用基因工程技术可获得符合生产要求的突变植株

    B.利用红细胞工程技术可以大量制备纯度高的抗流感病毒的抗体

    C.利用动物细胞培养或植物组织培养技术,均可获得完整生物体

   D.利用细胞工程技术,将两种二倍体植物的花粉进行细胞杂交,可获得二倍体可育植株

试题详情

2.关于真核生物的细胞呼吸,叙述正确的是                              (   )

    A.有氧呼吸主要消耗糖类,无氧呼吸主要消耗脂肪

    B.在完全无氧的环境中,细胞呼吸的产物一定没有CO2

    C.无氧呼吸不需氧的参与,因而其反应不属于氧化还原反应

    D.丙酮酸在细胞质基质中产生,在线粒体内彻底氧化分解

试题详情

1.在一个细胞周期中,可能发生在同一时期的变化是                       (   )

    A.DNA复制和中心粒复制           B.染色体数加倍和染色体形成

    C.细胞板的出现和纺缍体的出现       D.着丝点的分裂和周源染色体的分离

试题详情

31.请回答下列I、II题:

I.(12分)将一盆栽植物从茎基部剪为冠部和根部两段。将其冠部插入充满水的玻璃管中,玻璃管的另一端插入盛有水银的容器中。不久,水银柱上升,如图(一)所示;在其根部上端则套上一个弯曲的玻璃管,管内装有水和水银。不久,玻璃管内水分增加,水银柱上升,如图(二)所示。

(1)将装置(一)放置在暗室中一段时间,待水银柱高度保持稳定后,再开灯给予冠部较强光照。这时,叶绿体内C3含量将    。叶片气孔会张大,水银柱的高度将    

(2)直接促使装置(二)水分上升的生理活动主要是   作用。对装置(二)的根部施浇100 mL具一定浓度的NH4NO3溶液,水银柱的高度下降0.5 mm后就停止了一下降。此时根毛细胞的细胞液浓度变      。接着再次对装置(二)根部施浇100 mL上述溶液,水银柱的高度将出现一段时间的持续     

(3)若用某一浓度的蔗糖液浸泡该植物叶片的下表皮细胞,在显微镜下观察到细胞有轻微的质壁分离。那么用同样的蔗糖液浸泡该植物的根毛细胞,根毛细胞将表现出(  )

A.严重质壁分离                      B.轻微质壁分离

C.不会质壁分离                      D.吸水胀大

II.(10分)人在生病发烧时,常会发生食欲下降的现象。某同学猜测这可能与消化酶的活性减弱有关。生物小组欲以淀粉酶来设计实验,对这一猜测加以探究。现请你完善实验步骤,并回答有关实验的问题。

供选材料

浓度适宜的α-淀粉酶溶液,浓度适宜的胰淀粉酶溶液,可溶性淀粉液(pH适宜),班氏糖定性试剂,恒温水浴箱两只(温度可调控),试管,烧杯,清水,酒精灯等。

实验原理提示

班氏糖定性试剂遇还原糖产生砖红色沉淀,其颜色的深浅与还原糖的量成正比。 

实验步骤

(1)取甲、乙两支试管编号,分别加入适量、等量的可溶性淀粉液。

(2)将甲、乙两试管的下端同时插入不同的恒温水浴箱中。甲试管保持的温度设定为40℃,乙试管保持的温度设定为      ℃,维持10min。

(3)同时向甲、乙试管分别加入等量      的溶液,振荡后继续保温10min。

(4)同时对两试管加入等量的班氏糖定性试剂,摇匀并       ,然后观察比较两试管的颜色变化。

实验预期和结论

(1)若       ,说明人生病发烧会减弱消化酶的活性。

(2)若      ,说明人生病发烧不会减弱消化酶的活性。

试题详情

30.(20分)鹦鹉是人们非常喜欢的宠物鸟。人们在养殖鹦鹉的过程中,不断地探索着鹦鹉生理活动的规律。

(1)某人的一只绿色虎皮鹦鹉与蓝色虎皮鹦鹉交配,后代全是绿色虎皮鹦鹉。再用后代中的绿色虎皮鹦鹉与他人的绿色虎皮鹦鹉交配,所产生的后代中却出现了既有绿色虎皮鹦鹉、又有蓝色虎皮鹦鹉的现象。这种现象在遗传学上称为      。虎皮鹦鹉的蓝色对绿色称为      性状。

(2)有人用蓝色()虎皮鹦鹉与绿色()虎皮鹦鹉交配(设为正交),结果后代全是绿色。而反交后代中,雄性全为绿色,雌性则既有绿色,又有黄色。这种性状遗传与性别相关联的现象在遗传学上称为      。上述反交亲本的性状组合为     

(3)白色虎皮鹦鹉是最受青睐的品种。有人用一对蓝色虎皮鹦鹉交配,后代雌鸟中出现了白色个体。已知其余后代个体的体色是下列选项之一。根据上述探索到的虎皮鹦鹉体色遗传特点,某同学认为B选项正确。其理由是        

A.全为绿色                         B.全为蓝色

C.雄性为绿色、雌性为黄色              D.雄性为蓝色、雌性为绿色

(4)一对绿色的虎皮鹦鹉产下的卵孵出了蓝色、绿色、黄色和白色4只体色迥异的小鹦鹉。这几只小鹦鹉的几种可遗传的体色变异来源于(  )

A.环境影响                         B.染色体变异

C.基因突变和基因重组                 D.环境影响和染色体变异

(5)在鹦鹉卵巢内,一个基因型为MmNn的卵原细胞经过减数分裂后会形成    种基因型的卵细胞。

(6)母鹤鹉在孵卵期间,每天都要将卵翻动数次。鹦鹉卵内具有保护胚胎不因震动而受损伤的两种结构是     

(7)刚孵化出来的小鹦鹉25天内不能独立生活,全靠母鹦鹉喂食。母鹤鹉照顾幼鸟的行为直接受垂体分泌的       调控。

(8)一人翻窗入室,悄悄走近了鹦鹉笼。鹦鹉突然高声叫道:“客人,您好!”见行迹败露,小偷落荒而逃。鹦鹉认贼为客的叫喊是一种(  )

A.先天性的反射

B.经过训练形成的反射

   C.后天性的印随学习

D.大脑皮层S区控制的言语活动

试题详情

5.阳光穿过森林中的空隙形成“光斑”,它会随太阳的运动和枝叶的摆动而移动。下图表示一株生长旺盛的植物在“光斑”照射前后的光合作用过程中吸收CO2和释放O2的有关曲线,此曲线说明

A.“光斑”照射前,光合作用无法进行

B.“光斑”照射开始后,光反应和暗反应迅速同步增加

C.“光斑”照射后O2释放曲线的变化说明暗反应对光反应有限制作用

D.CO2曲线AB段的变化说明进行暗反应与光照无关

第Ⅱ卷(非选择题,共174分)

试题详情

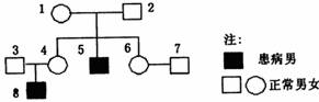
4.下图是某单基因遗传病系谱图,通过基因诊断知道3号个体不携带该遗传病的致病基因。有关该遗传病的错误分析是

 

A.该遗传病基因的遗传一定遵循孟德尔的基因分离定律

B.6号和7号生育患该遗传病小孩的几率为1/8

C.如果6号和7号第一个小孩患该遗传病,那么第二个小孩还患该病的几率为1/4

D.3号和4号再生一个男孩是正常的几率为1/4

试题详情

3.下图为动、植物细胞亚显微结构模式图,下列有关该图的正确叙述是

A.所有植物细胞都不具有的结构是[A]

B.胰岛B细胞合成胰岛素的场所是[C]

C.细胞在清水中不会胀破,是因为有结构[I]

D.图的下半部分可用来表示紫色洋葱鳞片叶表皮细胞的结构

试题详情

2.下列关于内环境稳态的叙述,正确的是

A.甲状腺激素和肾上腺素在体温调节过程有协同作用

B.严重腹泻、呕吐,只需要补充足够的水,由于Na+不吃不排,所以不必补充

C.人体血糖的平衡直接受下丘脑控制的神经调节

D.抗体都在细胞外液中与入侵的异物特异性结合

试题详情

1.固氮微生物有多种,各有特点。下列叙述与客观实际相符的是

A.根瘤菌不能在共生的植物体外生存

B.种菜豆时也可以采用蚕豆根瘤菌进行拌种

C.自生固氮菌的代谢类型是自养需氧型

D.圆褐固氮菌分泌生长素的过程与高尔基体有关

试题详情


同步练习册答案