0  188064  188072  188078  188082  188088  188090  188094  188100  188102  188108  188114  188118  188120  188124  188130  188132  188138  188142  188144  188148  188150  188154  188156  188158  188159  188160  188162  188163  188164  188166  188168  188172  188174  188178  188180  188184  188190  188192  188198  188202  188204  188208  188214  188220  188222  188228  188232  188234  188240  188244  188250  188258  447090 

3.从生物学角度看,下列古诗中表现为竞争关系的是

A.兰溪三日桃花雨,半夜鲤鱼来上滩

B.种豆南山下,草盛豆苗稀

C.满园春色关不住,一枝红杏出墙来

D.人间四月芳菲尽,山寺桃花始盛开

试题详情

2.下列有关内环境稳态的描述中,不正确的是

A.受神经系统和内分泌系统等的调节

B.是各个器官、系统相互协调的结果

C.温度、酸碱度、渗透压等呈现动态平衡

D.是通过人体正反馈调控实现的

试题详情

1.在下列物质中,不属于内环境组成成分的是

    A.血红蛋白        B.葡萄糖          C.二氧化碳和氧     D.氨基酸

试题详情

36.(9分)下图是将动物的生长激素基因导入细菌细胞内,产生“工程菌”的示意图。请据图回答:

(1)在“工程菌”细胞内,控制细菌合成胰岛素的基因、控制细菌主要性状的基因依次存在于_______________________________、________________________________上。

(2)在构建重组运载体B的过程中,需要______种限制酶切割­­­­_______个磷酸二酯键。

(3)将重组DNA分子导入细菌细胞,常用方法是_______________________________。

(4)在该工程中限制酶能识别的序列和切点是一GGATCC一,请画出质粒被切割形成的黏性末端。

试题详情

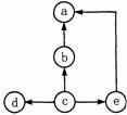
35.(10分)下图表示某稳定池塘生态系统的营养结构,a-e代表各营养级的生物。请据图回答:

(1)上图中没有标出的生态系统的成分是_______________________________________。

(2)若该系统中种群c固定的总能量为6.8×109kJ,种群d含的能量1.3×108kJ,则种群a至少约含_____________kJ。

(3)在池塘中,种群b数量的增长将导致种群a的增长,而种群a数量的增长又会抑制b数量的增加,这说明信息传递方向是_______________。

(4)养殖户借鉴外地经验,改变了生产方式,在塘基上种桑树,用蚕沙喂鱼,塘泥肥桑。这么做的优点是_____________________________________________。

(5)由于生活污水大量排入,该池塘连续多次发生蓝藻爆发,引起c死亡。导致c死亡的主要原因是生活环境中缺少_____________________。

试题详情

34.(9分)果蝇的基因A-a控制体色,B-b控制翅型,两对基因分别位于不同常染色体上,且基因A具有纯合致死效应。已知黑身残翅果蝇与灰身长翅果蝇交配,Fl为黑身长翅和灰身长翅,比例为l︰l。当F1的黑身长翅果蝇彼此交配时,其后代表现型及比例为:黑身长翅︰黑身残翅︰灰身长翅︰灰身残翅=6︰2︰3︰l。请据此分析回答下列问题:

(1)果蝇这两对相对性状分别中,显性性状分别为___________________。

(2)F1的黑身长翅果蝇彼此交配产生的后代中致死个体占的比例为____________,基因型有____________________________________。

(3)F2中的黑身残翅果蝇个体测交后代表现型及比例为__________________。

(4)一个自然繁殖的直刚毛果蝇种群中,偶然出现了一只卷刚毛雄果蝇。卷刚毛性状是如何产生和遗传的呢?有一种假说认为这是亲代生殖细胞中X染色体上的基因发生显性突变,请你设计一个实验加以验证。

试题详情

33.(9分)某动物细胞中位于常染色体上的A、B、C三个基因分别对a、b、c完全显性。用2个纯合个体杂交得F1,F1测交结果为aabbcc∶ AaBbCc∶aaBbcc∶AabbCc=1∶1∶1∶1。 

(1)请画出F1体细胞中三对基因在染色体上的位置图解

(2)对F1个体性腺组织细胞进行荧光标记,等位基因A、a都被标记为黄色,等位基因B、b都被标记为绿色,在荧光显微镜下观察处于四分体时期的细胞,能观察到一个四分体中有______个绿色荧光点。

(3)若在减数分裂过程中A所在片段与a基因所在片段进行互换,则发生的变异类型为_________________;若与B基因所在片段发生互换,则发生变异类型为________________

(4)请写出F1亲本可能的组合方式_____________________________________________。

试题详情

32.(10分)图甲是细胞的亚显微结构模式图,图乙表示某种生物膜结构示意图,请据图分析回答:

(1)图甲中①②⑥⑦⑨等结构形成的结构体系称为______________,在抗体合成和分泌过程中直接参与的细胞结构有___________________。

(2)图乙对应甲图中_______结构(填序号),当细胞衰老时,通透性改变,使物质运输功能_____________。

(3)图甲中⑧的功能是_______________________________________;染色体的运动所需能量主要是由[  ]___________产生的,星射线的形成与[  ]_____________有关。

(4)叶绿体和线粒体等细胞器中均具有图乙结构,但它们的具体功能却有很大的区别,究其原因是由于_________(填图乙中的字母)不同所致。

试题详情

31.(8分)以测定的CO2吸收量与释放量为指标,研究温度对某绿色植物光合作用与呼吸作用的影响,结果如图所示。请据图回答:

(1)温度通过影响____________对绿色植物光合作用与呼吸作用的产生影响。

(2)两曲线的交点表示______________________________________。

(3)光照相同时间,35℃时光合作用制造的有机物的量与________℃时相等,在________℃条件下植物产生的有机物的量最多

(4)保持外界温度不变,适当增强______________,增加______________________,可提高该绿色植物含碳有机物的产量。

试题详情

30.下面有关对下图曲线的描述不合理的是:

A.生态系统的抵抗力稳定性和恢复力稳定性的关系

B.某种群的显性基因频率与隐性基因频率的动态变化关系

C.杂合子豌豆逐代自交,后代中纯合子与杂合子的数量关系

D.种子在萌发过程中自由水/结合水的含量关系

第Ⅱ卷(非选择题55分)

试题详情


同步练习册答案