0  199867  199875  199881  199885  199891  199893  199897  199903  199905  199911  199917  199921  199923  199927  199933  199935  199941  199945  199947  199951  199953  199957  199959  199961  199962  199963  199965  199966  199967  199969  199971  199975  199977  199981  199983  199987  199993  199995  200001  200005  200007  200011  200017  200023  200025  200031  200035  200037  200043  200047  200053  200061  447090 

25、“五.一”假期小明一家驾车外出旅游。一路上,所学的运动学知识帮助他解决了不少实际问题。

⑴、经过某交通标志牌时,小明注意到了牌上的标示如图2-20所示。小明想了想,马上就明白了这两个数据的含义:从交通标志牌到上桥的距离为18km,通过这段公路时汽车的行驶速度不能超过40km/h。若小明爸爸驾车通过这段路程用时30min,则汽车的速度为多少千米每小时?在遵守交通规则的前提下,试计算从标志牌到上桥最快需要用几分钟?

⑵、当汽车行至某高速公路入口处时,小明注意到这段高速公路全长180km,行驶速度要求为:最低限速60km/h,最高限速120km/h,小明看表此时正好是上午10:00,他很快算出并告诉爸爸要跑完这段路程,必须在哪一段时间内到达高速公路出口才不会违规,请你通过计算,说明小明告诉他爸爸的是哪一段时间?

试题详情

3、刻度尺的分度值是1cm,用这把刻度尺测量,如用m来做单位,记录测量结果,结果的小数点后面应有几位数字(   )

A、1位      B、2位      C、3位      D、 4位

试题详情

25、“五.一”假期小明一家驾车外出旅游。一路上,所学的运动学知识帮助他解决了不少实际问题。

⑴、经过某交通标志牌时,小明注意到了牌上的标示如图2-20所示。小明想了想,马上就明白了这两个数据的含义:从交通标志牌到上桥的距离为18km,通过这段公路时汽车的行驶速度不能超过40km/h。若小明爸爸驾车通过这段路程用时30min,则汽车的速度为多少千米每小时?在遵守交通规则的前提下,试计算从标志牌到上桥最快需要用几分钟?

⑵、当汽车行至某高速公路入口处时,小明注意到这段高速公路全长180km,行驶速度要求为:最低限速60km/h,最高限速120km/h,小明看表此时正好是上午10:00,他很快算出并告诉爸爸要跑完这段路程,必须在哪一段时间内到达高速公路出口才不会违规,请你通过计算,说明小明告诉他爸爸的是哪一段时间?

第二章  全章复习指导与练习

在线回眸
 
 

本章知识结构框图:

典例精析
 
 

[例1]一位跳伞运动员在下落过程中,看到身旁的直升飞机在向上运动,直升飞机相对地面的运动是  (    )

A、一定上升     B、一定下降     C、一定静止     D、无法判定

[评析]跳伞员看到直升飞机在向上运动时是以自身作参照物。由于跳伞员相对地球是在向下运动,若直升机相对地球向上运动或静止时,跳伞员都会看到直升机与自身距离变大,即看到直升飞机向上运动。若直升飞机相对地球向下运动,且下降速度比跳伞员下降速度慢,跳伞员同样会看到直升飞机与自身距离变大,即认为直升飞机向上运动。由此可见,跳伞运动员无法依据自己看到的现象来判定直升机相对地球的运动情况。

[解答]D

[说明]若跳伞员看到直升飞机下降,则根据自身参照物对于地球处于下降的状态就可以判断直升机相对地球在下降,而且下降速度比跳伞员下降速度还要大。

[例2]乘客坐在“女王”号游轮中,游轮沿长江顺流行驶,以下列哪个物体为参照物乘客是运动的? (    ) 

A、江岸的码头   B、游轮的船舱    C、迎面驶来的汽艇   D、奔流的江水。

[评析]本题需要将题目中四个物体逐个选为参照物,分别考察研究对象--“乘客”的运动情况。

[解答]根据题意,A和C都符合题意;B不符合题意--“坐在游轮中”,应该与船舱相对静止;D则要加以分析,游轮顺流“行驶”,不同于木筏、竹排顺水“漂流”。前者“行驶”--相对于水运动;后者“漂流”--相对于水静止。

[解答]A、C、D。

[例3]下列物体运动最快的是 (   )      A、4h内通过160km        B、10s内通过了100m    C、1h内通过1.2×106cm      D、1min内通过1000m

[评析]要比较快慢,必须在单位一致的基础上进行比较大小。A物体的速度是40km/h;B物体的速度是10m/s合36km/h; C物体的速度是12km/h; D物体的速度是60km/h。

[解答]D

[说明]也可统一成m/s单位来比较。只是按题中条件,用km/h比m/s要简单些。

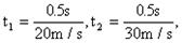
[例4]某汽车沿直线运动时,前半段路程用20m/s速度行驶,后半段路程用30m/s速度行驶,在整个路程中,汽车的平均速度多大?

[评析]根据平均速度的定义,可得出前半段和后半段的运动时间,再利用平均速度公式即可得全路程的平均速度。

[解答]设全路程为s,前半段运动时间t1,后半段运动时间t2。则:

所以全程的平均速度:

答:全程平均速度为24m/s。

[说明]平均速度不等于速度的平均值,即不能用(20m/s+30m/s)÷2来计算平均速度。平均速度是指物体通过某段路程共花费了多少时间这样一种平均快慢的概念,而花费的时间并不一定是“运动”的时间。如:某物体在10s内从甲地运动到乙地,经过路程50m,接着在乙地停留10s。若求前10s内平均速度则是5m/s;求20s内平均速度则是2.5m/s。

[例5]一列火车以54km/h的速度完全通过一个1100m长的铁桥,用时1min20s。求这列火车的长度。

[评析]本题属于一类“车辆过桥、钻洞问题”,特点是:题目给出车辆长度,“路程”不能直接代入“桥(洞)的长度”{若是这样代入,车辆行完计算出的路程后,并未完全通过桥(洞),此时整个车辆还在桥上(洞里)!},此时车辆通过的路程应是路程=桥(洞)长+车长。

[解答]v=54km/h=15m/s,t=1min20s=80s, l=1100m,求:l

根据题意: s= vt=15m/s×80s=1200m

因为:s =l+ l

则:l=s - l=1200m–1100m=100m

答:这列火车的长度是100m。

训练与回顾
 
 
注:本训练题因题量偏少,设置总分也为60分,各题分值由各位教师自由分配。题型可以根据需要变化。
 

试题详情

24、请利用公路边的路标(每100m一个标记)或铁路钢轨(每根长12.5m )设计一个实验方案,测出汽车或火车的平均速度。写出还需要的器材、实验的步骤、应记录的实验数据(用字母表示),写出最后平均速度的表达式。

试题详情

23、某课外兴趣小组的同学们为了研究蜗牛的运动情况,将蜗牛放在刻度尺上让其沿刻度尺爬行,并每隔10s拍摄记录蜗牛的位置,拼成如图2-19所示的照片。

 

同学们依据此图片获得数据,如下表:

照片序号
1
2
3
4
5
6
时间t/s
0
10
20
30
40
50
路程s/mm
0
12.0
22.2
 
48.7
61.2

⑴、请你根据图中的情景,把表格中的内容补充完整;

⑵、根据上表的数据,你可得出蜗牛是做_________________运动,整个50s内的平均速度是____________mm/s。

试题详情

22、如图2-18是甲、乙两个物体的频闪照片,从图可知,甲物体做      运动,乙物体做         运动。

试题详情

21、如图2-17所示,用刻度尺测量木块的长度,则测量值为       cm,其中准确值为   cm,估计值为      cm。

试题详情

20、根据图2-16的列车时刻表,计算列车从襄樊到丹江运行的平均速度,以及从朱坡到老河口运行的平均速度。

试题详情

19、一小车以30m/s的速度匀速行驶,司机突然发现前方有紧急情况以后过0.6s开始刹车,又经过4.4s滑行52m车停止,则从发现情况到车停止的平均速度为       m/s 。

试题详情

18、信号沿动物神经传播速度大约是100m/s,身长30m的鲸,尾巴被鲨鱼咬了一口,大约经过     s,它能感觉到被咬。身高1.8m的人,大约经过    s能感觉到脚上被咬了一口。

试题详情


同步练习册答案