0  200638  200646  200652  200656  200662  200664  200668  200674  200676  200682  200688  200692  200694  200698  200704  200706  200712  200716  200718  200722  200724  200728  200730  200732  200733  200734  200736  200737  200738  200740  200742  200746  200748  200752  200754  200758  200764  200766  200772  200776  200778  200782  200788  200794  200796  200802  200806  200808  200814  200818  200824  200832  447090 

3.请将图16中的实物按要求连接成电路图。要求:两灯泡串联,电压表测L2的电压。

    

图16
 
 

试题详情

2、利用干电池、开关、导线、小灯泡、滑动变阻器设计一个可调节小灯泡亮度的电路,将电路图画在图15虚线框内。

图15
 

试题详情

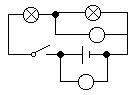
1、在连接电路时,如发现有连接错误,不少同学习惯于将电路全部拆散,重新连接.其实,有时只要思考一下,拆除或改接某些导线就能解决问题。现在考考你,如图14是某同学连接的电路:

(1)如果合上开关,将出现_______现象(选填“断路”或“短路”).除了两只灯都不亮以外,还会造成_______的不良后果

(2)对于这个电路,只须拆除一根导线,就能成为两灯串联的正确电路。请在要拆除的那根线上打上“×”号

图14
 

试题详情

8、如图13所示,滑动变阻器铭牌上标有“50Ω 2A”字样,当将滑片P移到最右端B时,变阻器的阻值是_____________Ω,当将滑片P移到中点时,变阻器的阻值是_____________Ω。

图13
 
                        三、作图题(每小题4分,共12分)

试题详情

6、如图11所示是研究导体的电阻跟哪些因素有关的实验装置。木板上有两条长度与横截面积均相等的金属丝。AB是镍铬合金丝,CD是锰铜丝。这个实验装置可以探究导体的电阻与 是否有关。如果将金属丝CD换为镍铬合金丝,其长度等于金属丝AB的二分之一,横截面积与金属丝AB相等,那么这个实验装置可探究导体电阻与  是否有关。

图11
 

图12

 
7、把两种不同的金属片插入柠檬,制成“水果电池”.用电压表测量水果电池的电压,如图12所示.则B金属片是电源的     极。

试题详情

5、分别读出图9、10中分别是电流表、电压表的示数。I=       A;U=       V

图9
 
图10
 
 

试题详情

4、在测量某电路两端的电压时,电压值不知道,则在“-”、“3” 和“15”三个接线柱中,最好应选用      两个接线柱与所测的电路   _____联进行试触,并且让电流从____________接线柱流入。

试题详情

3.小明用两节干电池和一个灯泡连接了如图8所示的电路,用来探究铅笔芯AB的导电性.闭合开关后发现灯泡能发光,这说明铅笔芯是      ,发出微弱的光说明有    通过灯泡,当P向右移动时灯泡亮度增大,说明铅笔芯接入电路的电阻       (选填增大或减小),这个实验说明导体的电阻跟导体的        有关。

试题详情

2.一台扩音机的最大输入信号电压是500mV=    V,一电阻的阻值为1kΩ=     Ω。

试题详情

1.家庭照明电路的电压是      ,一节干电池的电压是    ,对人体的安全电压是       。电路中需要4.5V电压,应使用     个干电池    联在一起。

试题详情


同步练习册答案