0  277897  277905  277911  277915  277921  277923  277927  277933  277935  277941  277947  277951  277953  277957  277963  277965  277971  277975  277977  277981  277983  277987  277989  277991  277992  277993  277995  277996  277997  277999  278001  278005  278007  278011  278013  278017  278023  278025  278031  278035  278037  278041  278047  278053  278055  278061  278065  278067  278073  278077  278083  278091  447090 

8、已知,则下列结论中正确的是(  )

  A.函数的周期为2;

  B.函数的最大值为1;

  C.将的图象向左平移个单位后得到的图象;

   D.将的图象向右平移个单位后得到的图象;

试题详情

6、设向量, 满足:, , , 则的夹角是(  )

(A)     (B)      

(C)     (D)

(7)一个多面体的三视图分别是正方形、

等腰三角形和矩形, 其尺寸如图,

则该多面体的体积为

  (A)  (B) 

 (C)   (D)

试题详情

4、设变量满足约束条件,则目标函数

=2+4的最大值为( )

A.10           B. 12           C.13          D.14

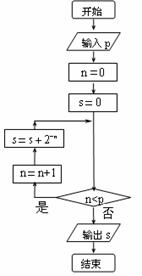
5执行如图的程序框图,如果输入,则输出的(   )

(A)   (B)     (C)   (D)

试题详情

3、已知是三条不同的直线,是三个不同的平面,下列命题中正确的是(  )(A)//       (B)//,//// (C)//       (D)//,////


(第5题)

试题详情

2、设x是实数,则“x>0”是“|x|>0”的 (   )

A.充分不必要条件         B. 必要不充分条件 

C.充要条件             D.既不充分也不必要条件

试题详情

1.集合A={-1,0,1},B={y|y=cosxx∈A},则AB=(  )

     A.{0}          B.{1}         C.{0,1}      D.{-1,0,1}

试题详情

19.(16分)

(1)把一块纯净的锌片插入盛有稀硫酸的烧杯里,可观察到锌片逐渐溶解,并有气体产生,再平行地插入一块铜片(如图甲所示),可观察到铜片上      (填“有”或“没有”)气泡产生,再用导线把锌片和铜片连接起来(如图乙所示),可观察到铜片上___________      (填“有”或“没有”)气泡产生。

(2)用导线连接灵敏电流表的两端后,再与溶液中的锌片和铜片相连(如图丙所示),观察到灵敏电流表的指针发生了偏转,说明了导线中有电流通过。从上述现象中可以归纳出构成原电池的一些条件是                   ,

有关的电极反应式:锌片           ;铜片             

(3)图乙、图丙是一个将       能转化为      能的装置,人们把它叫做原电池。

试题详情

18.(12分)某学生为了探究锌与盐酸反应过程中的速率变化,他在100mL稀盐酸中加入足量的锌粉,用排水集气法收集反应放出的氢气,实验记录如下(累计值):

时间(min)
1
2
3
4
5
氢气体积(mL)
50
120
232
290
310

(1)哪一时间段(指0-1、1-2、2-3、3-4、4-5 min)反应速率最大        ,

原因是                              。

(2)哪一段时段的反应速率最小             ,原因是          

                        。

(3)如果反应太激烈,为了减缓反应速率而又不减少产生氢气的量,他在盐酸中分别加入等体积的下列溶液:

A.蒸馏水     B.NaCl溶液     C.Na2CO3溶液     D.CuSO4溶液

你认为可行的是(填编号)              。

试题详情

17.(15分)将20g Ba(OH)2·8H2O晶体与10 g NH4Cl晶体一起放入小烧杯中,将烧杯放在滴有3-4滴水的玻璃片上,用玻璃棒迅速搅拌。

(1)实验中玻璃棒的作用是                 

(2)写出有关反应的化学方程式                       。

(3)实验中观察到的现象有          、        和反应混合物成糊状。

(4)通过      现象,说明该反应为      (填“吸热”或“放热”)反应,这是由于反应物的总能量       (填“小于”或“大于”)生成物的总能量。

试题详情

16.(12分)  A、B、C、D四种元素均属于短周期元素,且原子序数依次增大,A与B能组成原子数之比为2∶1的化合物X和1∶1的化合物Y,D与B也能组成原子数之比为2:1的化合物M和1:1的化合物Z;    1molC单质的化合物跟X反应放出0.5mol气体B,1molD单质跟X反应放出11.2L(标准)气体A,1molZ化合物跟X反应放出0.5mol气体B。试回答:

(1)这四种元素形成的五种简单离子的半径大小顺序为____________________;

(2)这四种元素的原子半径大小顺序为 _________________________________;

(3)由B和C组成的化合物的分子式为____________;由A、B、C组成的化合物的电子式为____________,在这两种化合物中,C元素的化合价分别为_________和____________。

试题详情


同步练习册答案