0  282145  282153  282159  282163  282169  282171  282175  282181  282183  282189  282195  282199  282201  282205  282211  282213  282219  282223  282225  282229  282231  282235  282237  282239  282240  282241  282243  282244  282245  282247  282249  282253  282255  282259  282261  282265  282271  282273  282279  282283  282285  282289  282295  282301  282303  282309  282313  282315  282321  282325  282331  282339  447090 

8.如图,是生产中常用的一种延时继电器的示意图.铁芯上有两个线圈AB,线圈A跟电源连接,线圈B的两端接在一起,构成一个闭合电路.在断开开关S的时候,弹簧K并不能立即将衔铁D拉起,使触头C立即离开,而是过一段时间后触头C才能离开,因此得名延时继电器.为检验线圈B中的电流,在电路中接入一个电流表G.关于通过电流表的电流方向,以下判断正确的是(   )

A.闭合S的瞬间,电流方向为从左到右

B.闭合S的瞬间,电流方向为从右到左

C.断开S的瞬间,电流方向为从左到右

D.断开S的瞬间,电流方向为从右到左

试题详情

7.如图所示,光滑的U型金属框固定在水平面上,框中串接一电阻R,在I、Ⅱ两区域内分别存在磁感强度大小相等方向相反的竖直磁场.置于U型金属框上的金属杆ab,受水平恒定外力作用.当在I 区域内向右匀速运动时,通过电阻R的电流强度为I;当金属杆ab运动到Ⅱ区域时(  )  

A.将作减速运动

B.在Ⅱ区域运动时受到的安培力比在I 区域运动时受到的安培力大

C.通过R的电流与在I区域时通过R的电流方向相同

D.受到的磁场力与在I 区域时受到的磁场力的方向相同

试题详情

5.示波管是示波器的核心部件,它由电子枪、偏转电极和荧光屏组成,如图所示.如果在荧光屏上P点出现亮斑,那么示波管中的(  )

A.极板X应带正电      B.极板应带正电

C.极板Y应带负电       D.极板应带正电

6.图为可调电容器结构图,下述有关说法正确的是(  )

A.可调电容器的定片必须接电源的正极,动片必须接电源的负极

B.动片完全旋出时电容最小,完全旋入时电容最大

C.利用该电容器可制作测量角度的电容式传感器

D.为提高该电容器的电容,可在动片与定片之间充入电解液作为电介质

试题详情

4.空间某区域内存在着电场,电场线在竖直平面上的分布如图所示,一个质量为m、电量为q的小球在该电场中运动,小球经过A点时的速度大小为v1,方向水平向右,运动至B点时的速度大小为v2,运动方向与水平方向之间的夹角为,A、B两点之间的高度差与水平距离均为H,则以下判断中正确的是(  )

A.若v2 > v1,则电场力一定做正功

B.A、B两点间的电势差

C.小球由A点运动至B点,电场力做的功

D.小球运动到B点时所受重力的瞬时功率P = mgv2

试题详情

3.如图所示,有两个完全相同的金属球A、B,B固定在绝缘的地板上,A在离B高H的正上方由静止释放,与B发生碰撞后回跳高度为h,设碰撞中无动能损失,不计空气阻力.则(  )]

A.若两球带等量同种电荷,则h> H

B.若两球带等量同种电荷,则h<H

C.若两球带等量异种电荷,则h>H

D.若两球带等量异种电荷,则h<H

试题详情

2.如图所示,虚线abc代表电场中三个等势面,相邻等势面之间的电势差相等,即UabUbc,实线为一带正电的质点仅在电场力作用下通过该区域时的运动轨迹,PQ是这条轨迹上的两点,据此可知(   )    

A.三个等势面中,a的电势最高

B.带电质点在P点具有的电势能较在Q点具有的电势能大

C.带电质点通过P点时的动能较通过Q点时大

D.带电质点通过P点时的加速度较通过Q点时大

试题详情

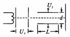
1.如图所示,示波器的示波管可以视为加速电场与偏转电场的组合,若已知加速电压为U1,偏转电压为U2,偏转极板长为L,板间距为d,且电子被加速前的初速度可忽略,则关于示波器的灵敏度(即偏转电场中每单位偏转电压所引起的偏转量h/ U2)与加速电场、偏转电场的关系,下列说法中正确的是( )

A. L越大,灵敏度越高   B. d越大,灵敏度越高

C. U1越大,灵敏度越小   D.灵敏度与U2无关

试题详情

Sir or Madam,

  Thank you for your offer inviting me to the summer English course in your school                                       

                                       

                                       

                                         

                                       

                                       

                                       

                                       

                                       

                                       

                                         

                                       

                                       

 

试题详情


同步练习册答案