0  282529  282537  282543  282547  282553  282555  282559  282565  282567  282573  282579  282583  282585  282589  282595  282597  282603  282607  282609  282613  282615  282619  282621  282623  282624  282625  282627  282628  282629  282631  282633  282637  282639  282643  282645  282649  282655  282657  282663  282667  282669  282673  282679  282685  282687  282693  282697  282699  282705  282709  282715  282723  447090 

10.下列说法正确的是(   )                        

A.苯中混有苯酚用溴水除去 

B.将铁屑、溴水、苯混合制溴苯

C.用3mL乙醇、2mLH2SO4、2mL冰醋酸制乙酸乙酯,为增大反应速率,现改用6mL乙醇、4mLH2SO4、4mL冰醋酸

D.丙烷中混有乙烯不能用酸性高锰酸钾溶液除杂

试题详情

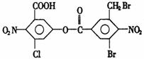
9.已知苯环上由于取代基的影响,使硝基邻位上的卤原子的反应活性增强,现有某有机物的结构简式如右图:1mol该有机物与足量的氢氧化钠溶液混合并共热,充分反应后最多可消耗氢氧化钠的物质的量为a(不考虑硝基与氢氧化钠的反应),则a是(  )

A.5mol           B.6mol 

C.7mol           D.8mol 

试题详情

7、分子式为CnH2n+1OH(n¹1)的醇不能发生消去反应,n的最小值是(  )

  A. 2       B. 3        C. 4        D.5

-Cl
 
8.某有机物的结构简式为,它在一定条件下可能发生的反应是(  )

①加成; ②水解; ③酯化; ④氧化; ⑤中和; ⑥消去; ⑦还原

A.①②③④⑤⑥⑦    B.①③④⑤⑥⑦    C.①②③⑤⑥⑦   D. ②③④⑤⑥⑦

试题详情

6. 下列离子方程式正确的是(   )

A乙酸与碳酸钠溶液反应:2H++CO== CO2↑+H2O

B醋酸溶液与新制氢氧化铜反应: 

CH3COOH+OH -→   CH3COO+H2O

C苯酚钠溶液中通入少量二氧化碳:

2C6H5O+CO2+H2O  2C6H5OH+CO

D甲醛溶液与足量的银氨溶液共热

HCHO+4[Ag(NH3)2]++4OH-CO+2NH+4Ag↓+6NH3+2H2O

试题详情

5.用硫酸酸化的CrO3遇酒精后,其颜色会从红色变为蓝绿色,用这个现象可以测得汽车司机是否酒后开车。反应的方程式为2CrO3 + 3C2H5OH + 3H2SO4 == Cr2(SO4)3 + 3CH3CHO + 6H2O,此反应的氧化剂是 (  )

A 、H2SO4     B、 CrO3     C、Cr2(SO4)3       D 、C2H5OH

试题详情

4.下列化合物的核磁共振氢谱中出现三组峰的是:(  )

A.2,2,3,3一四甲基丁烷      B.2,3,4一三甲基戊烷

C.3,4一二甲基己烷         D.2,5一二甲基己烷

试题详情

3.1体积某气态烃和2体积氯化氢发生加成反应后,最多还能和6体积氯气发生取代反应。由此可以断定原气态烃是(气体体积均在相同条件下测定)(  )          

A.乙炔      B.丙炔      C.丁炔      D.丁二烯

试题详情

2.根据下列物质的名称,就能确认是纯净物的是(   )

A.溴乙烷      B.二溴乙烷     C.已烯       D.淀粉

试题详情

1.化学与生活是紧密相联的,下列关于生活与化学的说法正确的是(  )

A.随着人们生活节奏的加快,方便的小包装食品已被广泛接受,为了防止中秋月饼等富脂食品氧化变质,延长食品的保质期,在包装袋中常放入生石灰

B、苯酚具有杀菌止痛效果,既可用于环境消毒,也可直接用于皮肤消毒

C.福尔马林是一种良好的消毒剂,也可用来消毒自来水

D.保护加酶洗衣粉的洗涤效果,应用温水溶解洗衣粉

试题详情

41.2010年3月5日,国家总理温家宝在第十一届全国人民代表大会第三次会议作政府工作报告。报告指出,“要深入推进政务公开,完善各类公开办事制度和行政复议制度,创造条件让人民批评政府、监督政府,同时充分发挥新闻舆论的监督作用,让权力在阳光下运行”。

请运用《政治生活》知识回答:

(1)创造条件让人民批评政府、监督政府有何意义?(8分)

(2)有人认为“防止权力滥用的关键是加强民主监督”,请评析这一观点。(9分)

澄海中学2009-2010学年度第二学期期中考试 

试题详情


同步练习册答案