0  285609  285617  285623  285627  285633  285635  285639  285645  285647  285653  285659  285663  285665  285669  285675  285677  285683  285687  285689  285693  285695  285699  285701  285703  285704  285705  285707  285708  285709  285711  285713  285717  285719  285723  285725  285729  285735  285737  285743  285747  285749  285753  285759  285765  285767  285773  285777  285779  285785  285789  285795  285803  447090 

3.(2010河北省)下列计算中,正确的是          D

A.    B.   C.      D.

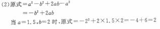
(2010·浙江温州)  (2)先化简,再求值:(n+6)(a-b)+a(2b-a),其中n=1.5,b=-2.

试题详情

2.(2010年安徽)  计算的结果正确的是…………………………(  A   )

A)  B)   C)   D)

试题详情

14.(2010年常州)分解因式:=     .14.(a+2b)(a-2b).

试题详情

9.(2010年常州)计算:                .9.1,2,2,a12.

试题详情

4、解:原式=1+(–3)+ –2–2´      …………………………………… 4分

        = – 4.     ………………………………………………………… 5分

试题详情

4、(2010四川宜宾)计算:(+1)0+(– )–1 – –2sin45°

答案:1.B  2.2(a–1)2;  3.150%;

试题详情

3.(2010四川宜宾)在加大农机补贴的政策影响下,某企业的农机在2010年1–3

月份的销售收入为5亿元,而2009年同期为2亿元,那么该企业的农机销售收入的同期增长率为   

试题详情

2.(2010四川宜宾)分解因式:2a2– 4a + 2=      

试题详情

1.(2010四川宜宾)下列运算中,不正确的是(    )

A.x3+ x3=2 x3    B.(–x2)3= –x5  C.x2·x4= x6   D.2x3÷x2 =2x

试题详情

7.(2010昆明)下列各式运算中,正确的是(   ) 

                 A.               B.

                        C.              D.

答案:B

试题详情


同步练习册答案