0  305234  305242  305248  305252  305258  305260  305264  305270  305272  305278  305284  305288  305290  305294  305300  305302  305308  305312  305314  305318  305320  305324  305326  305328  305329  305330  305332  305333  305334  305336  305338  305342  305344  305348  305350  305354  305360  305362  305368  305372  305374  305378  305384  305390  305392  305398  305402  305404  305410  305414  305420  305428  447090 

12.已知点F1F2分别是双曲线=1的左、右焦点,过F1且垂直于x轴的直线与双曲线交于AB两点,若△ABF2为锐角三角形,则该双曲线的离心率e的取值范围是 

A.(1,+∞)                      B.(1,) 

C.(-1,1+)                  D.(1,1+)

高考数学仿真试题(六)

第Ⅱ卷(非选择题  共90分) 

试题详情

10.点P是球O的直径AB上的动点,PA=x,过点P且与AB垂直的截面面积记为y,则y=f(x)的大致图象是 

   11.三人互相传球,由甲开始发球,并作为第一次传球,经过5次传球后,球仍回到甲手中, 则不同的传球方式共有 

A.6种                        B.10种 

C.8种                        D.16种

试题详情

9.设向量a=(x1y1),b=(x2,y2),则下列为ab共线的充要条件的有 

①存在一个实数λ,使得a=λbb=λa ;②|a·b|=|a|·|b|;③;④(a+b)∥(ab).

A.1个                        B.2个 

C.3个                        D.4个

试题详情

8.已知两点A(-1,0),B(0,2),点P是椭圆=1上的动点,则△PAB面积的最大值为 

A.4+                     B.4+

C.2+                     D.2+

试题详情

7.某村有旱地与水田若干,现在需要估计平均亩产量,用按5%比例分层抽样的方法抽取了15亩旱地45亩水田进行调查,则这个村的旱地与水田的亩数分别为 

A.150,450                    B.300,900 

C.600,600                    D.75,225

试题详情

6.已知y=f(x)是偶函数,当x>0时,f(x)=x+,当x∈[-3,-1]时,记f(x)的最大值为m,最小值为n,则mn等于 

A.2                           B.1

C.3                           D.

试题详情

5.已知f(cosx)=cos3x,则f(sin30°)的值是 

A.1                           B.

C.0                           D.-1

试题详情

4.计算机是将信息转换成二进制进行处理的,二进制即“逢2进1”如(1101)2表示二进制数,将它转换成十进制形式是1×23+1×22+0×21+1×20=13,那么将二进制数     

转换成十进制形式是 

A.217-2                       B.216-2 

C.216-1                       D.215-1

试题详情

3.抛物线y=ax2(a<0)的焦点坐标是 

A.(0,)                   B.(0,) 

C.(0,-)                    D.(-,0) 

试题详情

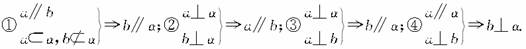
2.给出下列命题: 

  其中正确的判断是 

A.①④                        B.①②

C.②③                        D.①②④

试题详情


同步练习册答案