0  307899  307907  307913  307917  307923  307925  307929  307935  307937  307943  307949  307953  307955  307959  307965  307967  307973  307977  307979  307983  307985  307989  307991  307993  307994  307995  307997  307998  307999  308001  308003  308007  308009  308013  308015  308019  308025  308027  308033  308037  308039  308043  308049  308055  308057  308063  308067  308069  308075  308079  308085  308093  447090 

2. 2008年,《奇迹天工-中国古代发明创造文物展》在中国科技馆新馆开展,新“四大发明”首次集体亮相。其中被誉为“出现最早、应用最广、传播最远、技术最高”的发明应该是

A. 瓷器         B.丝绸       C.青铜         D.酿酒

试题详情

1. 苏轼曾经指出:“民庶之家,置庄田,招佃客,本望租课非行仁义,然犹至水旱之岁,必须放免欠负、贷借种粮者,其心诚恐客散而田荒,后日之失必倍于今故也。”苏轼的这句话反映出的主要问题是

A. 宋代时期,地主依靠土地剥削来积累财富

B. 宋代地主具有开展民间赈济的社会责任感

C.宋代佃户租种土地有较大的选择权和自由度

D.从宋代开始农村出现以租佃关系进行土地经营

试题详情

(三)问题讨论

(1)有同学认为:NH3与CuO反应生成的红色物质中可能含有Cu2O。已知:Cu2O是一种碱性氧化物;在酸性溶液中,Cu+的稳定性比Cu2+差(Cu+ →Cu + Cu2+)。请你设计一个简单的实验检验该红色物质中是否含有Cu2O。             

 (2)在解决了问题(1)后,又有同学提出:Cu2O与CuO的热稳定性哪个更强?于是

他们进行了如下实验:取98g Cu(OH)2固体,加热至80℃~100℃时,得到黑色固体粉

末,继续加热到1000℃以上,黑色粉末全部变为红色粉末A。冷却后称量,A的质量

为72g。据此可推得,A的化学式为     。由此,得到的结论是        

(四)兴趣探究

将铜丝的一端绕成螺旋状,在酒精灯外焰加热,冷却后变黑。再在酒

精灯上将该铜丝加热至红热状态。如右图所示,趁热插入到试管里的

氯化铵晶体中,在试管中出现白烟。冷却后取出铜丝变成亮红色。

(1)试管中出现白烟的有关化学方程式为              

(2)铜丝灼热后在氯化铵中由黑变红的有关化学方程式        

试题详情

(二)实验探究

该小组中某同学设计了下图所示的实验装置(夹持及尾气处理装置未画出),探究氨气

的还原性:

 

该装置在设计上有一定缺陷,可以采取的的改进措施是              

利用改进后的装置进行实验,观察到CuO变为红色物质,无水CuSO4变蓝色,同时生成一种无污染的N2

试题详情

(一)制取氨气

(1)写出实验制取氨气的化学方程式                       

(2)在实验室中,还可以用浓氨水与     (填写一种试剂)快速制取少量氨气;

(3)有同学模仿排饱和食盐水收集氯气的方法,想用排饱和氯化铵溶液的方法收集氨气。

你认为他能否达到目的?      (填“能”或“否”),理由是           

试题详情

17.(9分)

某反应中反应物与生成物有:AsH3 、H2SO4 、KBrO3 、K2SO4 、H3AsO4 、H2O和一种未知物质X。

(1)已知KBrO3在反应中得到电子,则该反应被还原的元素    还原剂    

(2)已知0.2mol KBrO3在反应中生成X时得到 1 mol电子,则X的电子式       

(3)将氧化剂和还原剂的化学式及其配平后的系数填入下列方框中,并标出电子转移的方向和数目:

(4)根据上述反应可推知        (填字母序号)。

   a.氧化性:KBrO3 > H3AsO4       b.氧化性:H2SO4 > KBrO3

   c.还原性:AsH3  > X          d.还原性: X > AsH3

18.(15分)

氮元素是生命活动、物质间转化的常见元素。

(1)图a是元素周期表中N元素的有关信息,图a中横线上缺失的具体内容是    

15N是N元素的一种重要核素,其一个原子核中含有的中子数为    

(2)三聚氰胺的结构简式如上图b,根据你的了解,下列关于三聚氰胺的表述中,正确的

      (填字母序号)。

    A.三聚氰胺的熔点可能很高     B.三聚氰胺的含氮量高达67%左右

    C.三聚氰胺属于无机化合物     D.三聚氰胺分子中所有原子在同一平面上

(3)H与N能形成化合物NH5 ,已知该物质与水反应有H2生成,则NH5中含有的化学键除了极性键还有    ,该反应的化学方程式为              

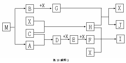
(4)已知M为氮元素与一种金属元素组成的离子化合物,其中金属元素的质量分数为

35.4%,M在汽车安全气囊中有重要的作用。常温下G为淡黄色固体。H为一种常见的液体,A、B、C、X为单质,其中A、C、X为气体,A、X均为空气中成分。I、J为常见的工业原料。有关物质间的转化关系如下图所示。

 

①写出D与X反应的化学方程式                   

②写出G与H反应的离子方程式                   

③实验室中I应如何保存?                      

④常温下M受撞击时可分解,13gM完全分解为A和B时,放出akJ的热量,写出

M分解的热化学方程式                       

⑤M是一种易溶于水的盐,其水溶液显弱碱性,用离子方程式解释原因       

19.(13分)

人类在使用金属的历史进程中,经历了铜、铁、铝之后,第四种将被广泛应用的金属

被科学家预测为是钛(22Ti),它被誉为“未来世纪的金属”。21世纪是钛的世纪。下面

是利用钛白粉(TiO2)生产海绵钛(Ti)的一种工艺流程:

 

已知: Mg(s)+Cl2 (g)=MgCl2 (s)  △H=-641 kJ·mol1

Cl2(g)+1/2Ti (s)=1/2TiCl4 (l)  △H=-385 kJ·mol1  试回答下列问题:

(1)Ti元素的基态原子的核外电子排布式为        

(2)钛白粉是利用TiO2+发生水解生成钛酸(H2TiO3)沉淀,再煅烧沉淀制得的。

TiO2+发生水解的离子方程式为              

(3)反应Ⅰ在800-900℃下进行,还生成一种可燃性无色气体,该反应的化学方程式为            ;反应Ⅱ的热化学方程式为            

(4)该工艺流程中,可以循环使用的物质有      

(5)在800℃-1000℃时电解TiO2也可制得海绵钛,装置如下图所示。

 

图中b是电源的    极,阴极的电极反应式为            

20.(15分)

某校化学研究性学习小组的同学在学习了氨的性质持讨论:运用类比的思想,既然氨气具有还原性,能否像H2那样还原CuO呢?他们设计实验制取氨气并探究上述问题。请你参与该小组的活动并完成下列研究:

试题详情

16.某同学为监察溶液中是否含有常见的四种离子,进行了下图所示的实验操作。其中检验过程中产生的气体能使红色石蕊试纸变蓝。由该实验能得到的正确结论是  (  )

A.原溶液中一定含有SO42- 离子          

B.原溶液中一定含有NH4+离子

C.原溶液中一定含有Cl-离子            

D.原溶液中一定含有Fe3+离子

第Ⅱ卷  (非选择题  共52分)

试题详情

15.下列实验不能先用蒸馏水润湿试纸的是                 (   )

A.用品红试纸检验SO2

B.用淀粉碘化钾试纸检验Cl2

C.用红色石蕊纸检验NH3

D.用pH试纸测定某溶液的pH值

试题详情

14.根据以下事实得出的判断一定正确的是                 (   )

A.HA的酸性比HB的强,则HA溶液的 pH一定比HB溶液的小

B.A+和B-的电子层结构相同,则A原子的核电荷数比B原子的大

C.同温下 ,A盐溶解度比B盐大,则A盐溶液的物质的量浓度比B盐溶液的大

D.A原子失去的电子比B原子的多,则A单质的还原性比B单质的强

试题详情

13.在标准状况下,进行甲、乙、丙三组实验:三组各取60mL 同浓度盐酸溶液,加入同一种镁铝合金粉末,产生气体,有关数据列表如下:

实验序号



合金质量/mg
510
770
918
气体体积/mL
560
672
672

则下列说法正确的是                        (   )

A.甲组和乙组的实验中,盐酸均是过量的  

B.盐酸的物质的量浓度为0.8 mol·L―1 

C.合金中镁铝的物质的量之比为1∶1    

D.丙组中铝的物质的量为0.009 mol

试题详情


同步练习册答案