0  311606  311614  311620  311624  311630  311632  311636  311642  311644  311650  311656  311660  311662  311666  311672  311674  311680  311684  311686  311690  311692  311696  311698  311700  311701  311702  311704  311705  311706  311708  311710  311714  311716  311720  311722  311726  311732  311734  311740  311744  311746  311750  311756  311762  311764  311770  311774  311776  311782  311786  311792  311800  447090 

2.美国和墨西哥研究人员将普通纳米银微粒分散到纳米泡沫碳(碳的第五种单质形态)中,得到不同形状的纳米银微粒,该纳米银微粒能有效杀死艾滋病病毒(HIV-1)。纳米泡沫碳与金刚石的关系是

A.同素异形体   B.同分异构体    C.同系物   D.同位素

试题详情

1.从石器青铜器到铁器时代,金属的冶炼体现了人类文明的发展水平。下图表示了三种金属被人类开发利用的大致年限,之所以有先后,主要取决于

 

A.金属的化合价高低       B.金属的活动性大小 

C.金属的导电性强弱       D.金属在地壳中的含量多少

试题详情

4.水平弹簧振子的弹簧应为如图6-2a或6-2b的样子。当振子的位置在平衡位置两侧时,弹簧长度是不同的。所以选项D不对。

 另外,符合题意条件的不一定非选最大位移处的两点,也可以选其他的点分析,如图6-3 P、Q两点,同样可以得出正确结论。

 所以此题的正确答案为A,C。

 例2 一个做简谐运动的弹簧振子,周期为T,振幅为A,设振子

 A.t1=t2  B.t1<t2

 C.t1>t2  D.无法判断

  度也大,因而时间短,所以t1>t2,应选C。

 错解三:因为这是一个变加速运动问题,不能用匀速运动或匀变速运动规律求解,因而无法判断t1和t2的大小关系,所以选D。

 主要是对简谐运动的特殊运动规律不清楚,只记住了周期公式,没注意分析简谐运动的全过程,没能深入地理解和掌握这种运动形式的特点。因而解题时错误地沿用了匀速或匀变速运动的规律,选择A的同学就是用匀速运动规律去解,而选择C的同学用了匀变速运动规律去解,因而错了。事实上,简谐运动的过程有其自身的许多规律,我们应该用它的特殊规律去求解问题,而不能用匀速或匀变速运动规律去求解。

 [正确解答] 方法一:用图象法,画出x-t图象,从图象上,我们可以很直观地看出:t1<t2,因而正确答案为:B。

 方法二:从图象为正弦曲线和数学知识可写出位移随时间的函数关系式,物理学上称为振动方程,从平衡位置开始,振子的振动方程为:

       

 

   

 [小结] 以上两种方法,第一种方法是定性分析,在选择题练习时,是要重点掌握的。第二种方法可以进行定量计算,但由于要涉及振动方程,所以不做统一要求。

  t'= nT + t2。此处,为了题目简明起见,题文中用了“第一次”和“最短时间”等字样。否则就无法比较两个过程所用时间的长短。

 例3 一个弹簧振子,第一次被压缩x后释放做自由振动,周期为T1,第二次被压缩2x后释放做自由振动,周期为T2,则两次振动周期之比T1∶T2为 [ ]

 A.1∶1  B.1∶2

 C.2∶1  D.1∶4

 [错解分析]错解:压缩x时,振幅为x,完成一次全振动的路程为4x。压缩2x时,振幅即为2x,完成一次全振动的路程为8x。由于两种情况下全振动的路程的差异,第二次是第一次的2倍。所以,第二次振动的周期一定也是第一次的2倍,所以选B。

 上述解法之所以错误是因为把振子的运动看成是匀速运动或加速度恒定的匀加速直线运动了。用了匀速或匀加速运动的规律。说明这些同学还是没有掌握振动的特殊规律。

 [正确解答] 事实上,只要是自由振动,其振动的周期只由自身因素决定,对于弹簧振子而言,就是只由弹簧振子的质量m和弹簧的劲度系数k决定的,而与形变大小、也就是振幅无关。所以只要弹簧振子这个系统不变(m,k不变),周期就不会改变,所以正确答案为A。

 [小结] 本题给出的错解是初学者中最常见的错误。产生这一错误的原因是习惯于用旧的思维模式分析新问题,而不善于抓住新问题的具体特点,这反映了学习的一种思维定势。只有善于接受新知识、新方法,并将其运用到实际问题中去,才能开阔我们分析、解决问题的思路,防止思维定势。

 例4 一个单摆,如果摆球的质量增加为原来的4倍,摆球经过平

 A.频率不变,振幅不变  B.频率不变,振幅改变

 C.频率改变,振幅不变  D.频率改变,振幅改变

 [错解分析] 错解一:因为单摆的周期(频率)是由摆长L和当地重 变(指平衡位置动能也就是最大动能),由机械能守恒可知,势能也不变。所以振幅也不变,应选A。

 而振幅与质量、速度无关(由上述理由可知)所以振幅不变,应选C。

 错解三:认为频率要改变,理由同错解二。而关于振幅的改变与否,除了错解一中所示理由外,即总能量不变,而因为重力势能EP= mgh,EP不变,m变为原来的4倍,h一定变小了,即上摆到最高点的高度下降了,所以振幅要改变,应选D。

 此题主要考查决定单摆频率(周期)和振幅的是什么因素,而题中提供了两个变化因素,即质量和最大速度,到底频率和振幅与这两个因素有没有关系。若有关系,有什么关系,是应该弄清楚的。

 而错解二和错解三中都认为频率不变,这是因为为不清楚决定单摆的因素是摆长L和当地重力加速度g,而与摆球质量及运动到最低点的速度无关。

 错解二中关于频率不变的判断是正确的,错误出现在后半句的结论上。判断只从能量不变去看,当E不变时,EP= mgh,m变大了,h一定变小。说明有些同学考虑问题还是不够全面。

 [正确解答] (1)实际上,通过实验我们已经了解到,决定单单摆的周期与质量无关,与单摆的运动速度也无关。当然,频率也与质量和速度无关,所以不能选C,D。

 (2)决定振幅的是外来因素。反映在单摆的运动中,可以从能量去观察,从上面分析我们知道,在平衡位置(即最低点)时的动能的重力势能也不变。但是由于第二次摆的质量增大了(实际上单摆已经变成另一个摆动过程了),势能EP= mgh不变,m大了,h就一定变小了,也就是说,振幅减小了。因此正确答案应选B。

 [小结] 本题的分析解答提醒我们,一是考虑要全面,本题中m,v两因素的变化对确定的单摆振动究竟会产生怎样的影响,要进行全面分析;二是分析问题要有充分的理论依据,如本题中决定单摆振动的频率

 例5 如图6-5所示,光滑圆弧轨道的半径为R,圆弧底部中点为O,两个相同的小球分别在O正上方h处的A点和离O很近的轨道B点,现同时释放两球,使两球正好在O点相碰。问h应为多高?

 [错解分析]错解:对B球,可视为单摆,延用单摆周期公式可求B球到达O点的时间:

 对A球,它做自由落体运动,自h高度下落至O点

 

   

 上述答案并没有完全错,分析过程中有一点没有考虑,即是振动的周期性,因为B球在圆形轨道上自B点释放后可以做往复的周期性运动,除了经过 上述解答漏掉一些解,即上述解答只是多个解答中的一个。

 

 对B球振动周期

 到达O点的时间为

            显然,前面的解仅仅是当n=0时的其中一解而已。

 

 [小结] 在解决与振动有关的问题时,要充分考虑到振动的周期性,由于振动具有周期性,所以此类问题往往答案不是一个而是多个。

 例6 一简谐波的波源在坐标原点o处,经过一段时间振动从o点向右传播20cm到Q点,如图6-6所示,P点离开o点的距离为30cm,试判断P质点开始振动的方向。

 传到P点,所以画出如图6-7所示的波形图。因为波源在原点,波沿x轴正方向传播,所以可判定,P点开始振动的方向是沿y轴正方向(即向上)。

 主要原因是把机械波的图象当成机械振动的图象看面的波形也变化了。

 [正确解答] 因为原图中的波形经历了半个周期的波形如图6-8所示,在此波形基础上,向前延长半个波形即为P点开始振动时的波形图,因为波源在原点处,所以介质中的每个质点都被其左侧质点带动,所以P点在刚开始时的振动方向沿y轴负方向(即向下)从另外一个角度来看,原图中Q点开始振动时是向下的,因为所有质点开始振动时的情况均相同,所以P点开始振动的方向应是向下的。

 [小结] 本题中的错解混淆了振动图象与波的图象,那么这两个图象有什么不同呢?(1)首先两个图象的坐标轴所表示的物理意义不同:振动图象的横坐标表示时间,而波动图象的横坐标表示介质中各振动质点的平衡位置。(2)两个图象所描述的对象不同:振动图象描述的是一个质点的位移随时间的变化情况,而波的图象描述的是介质中的一群质点某一时刻各自振动所到达的位置情况。通俗地说:振动图象相当于是在一般时间内一个质点运动的“录像”,而波的图象则是某一时刻一群质点振动的“照片”。(3)随着时间的推移,振动图象原来的形状(即过去质点不同时刻所到达的位置不再发生变化,而波的图象由于各质点总在不断地振动,因此随着时间的推移,原有的图象将发生周期性变化。

 例7 图6-9是某时刻一列横波在空间传播的波形图线。已知波是沿x轴正方向传播,波速为4m/s,试计算并画出经过此时之后1.25s的空间波形图。

            

 =62.5个波长,其波形如图6-12。

 错解一、错解二没有重视单位的一致性,在此题中波长从图中只能得出λ=8cm,而波速给出的却是国际单位4m/s。因此,求周期时,应先将波长的单位统一到国际单位制上来。

 错解三虽然计算对了,但是,在波向前(沿x轴正方向)传播了62.5个波长时的波形,应是在原来的波形基础上向x正方扩展62.5个波长。

  播一个波长。经过62.5个周期,波向前传播了62.5个波长。据波的周期性,当经过振动周期的整数倍时,波只是向前传播了整数倍个波长,而形,如图6-13。再将此图向前扩展62个波长即为题目要求,波形如图6-14。

 [小结] 波形图反映了波在传播过程中某时刻在波的传播方向上各质点离开平衡位置的位移情况,由于波只能以有限的速度向前传播,所以离振源远的质点总要滞后一段时间,滞后的时间与传播的距离成正比,即滞后一个周期。两个质点之间的平衡位置距离就是一个波长,经过多少个周期,波就向前传播了多少个波长,而振源就做了多少次全振动,这就是此类问题的关键所在。

 例8 如图6-15所示,一列简谐横波沿x轴正方向传播,从波传到x=5m的M点时开始计时,已知P点相继出现两个波峰的时间间隔为0.4s,下面说法中正确的是 [ ]

 A.这列波的波长是4m

 B.这列波的传播速度是10m/s

 C.质点Q(x=9m)经过0.5s才第一次到达波峰

 D.M点以后各质点开始振动时的方向都是向下

 [错解分析] 错解一:由题中说P点相继出现两个波峰的时间间隔为

 错解二:质点Q(x=9m),经过0.4s(此处用了正确的周期结果 所以C对。

 错解三:M点以后各质点的振动有的向上,有的向下,所以D不对。

 错解一对“相继出现两个波峰”理解有误。

 错解二对质点Q(x=9m)处,当波传到它以后,该点应如何振动不会分析,实际上也就是对波的传播原理不明白。不知道波的传播是机械振动在介质中传递的过程,质点要依次被带动形成波。

 同理,错解三对M点以后各点运动情况分析有误,实际上M点以后各点运动情况向上还是向下取决于波的传播方向。

 [正确解答] (1)从图6-15上可以看出波长为4m,选A。

 (2)实际上“相继出现两个波峰”应理解为,出现第一波峰与出现第二个波峰之间的时间间隔。因为在一个周期内,质点完成一次全振动,而一次全振动应表现为“相继出现两个波峰”,即T=0.4s。则

 (3)质点Q(x=9m)经过0.4s开始振动,而波是沿x轴正方向传播,即介质中的每一个质点都被它左侧的质点所带动,从波向前传播的波形图6-16可以看出,0.4s波传到Q时,其左侧质点在它下方,所以Q点在0.5s时处于波谷。再经过0.2s即总共经过0.7s才第一次到达波峰,所以选项C错了。

 (4)从波的向前传播原理可以知道,M以后的每个质点都是先向下振动的。所以选项D是对的。

 此题正确答案为A,B,D。

 例9 如图6-17所示,一根张紧的水平弹性长绳上的a,b两点,相距14.0m,b点在a点的右方,当一列简谐横波沿此长绳向右传播时,若a点的位移达到正最大时,b点的位移恰为零且向下运动。经过1.00s后a点的位移为零,且向下运动,而b点的位移恰达到负最大,则这简谐波的波速可能等于 [ ]

 A.4.67m/s  B.6m/s

 C.10m/s   D.4m/s

            

 v=4.67m/s选择A。

 但此题可能多选,考虑到a,b之间满足条件的情况还可        

 解得:v=10m/s 选择C

    

 解得:v=11.5m/s显然不符合题目中的选项,且通过分析可知v=14m/s也是不对的,所以正确答案为A,C。

 以上答案并没有错,但分析问题的过程出现了明显的 漏了不少结论。而此题做为选择题,学生能用错误的思维方式得出符合答案的结果,纯属偶然。

        

 波长λ有一系列数据,周期T也有一系列数据,从波的概念出发,两者并无一一对应,因而波速应为

 其解为当n=0,N=0,1,2……

 n=1,N=0,1,2……

 n=2,N=0,1,2……

 我们可以通过列表来看一看波速的各种可能值:

 从表中可以看出,4.67m/s及10m/s即为正确答案。所以正确答案应选A,C。

试题详情

3.同错解3。

试题详情

4.对弹簧振子这样一个物理模型认识不全面,所谓水平弹簧振子的弹簧是哪段没弄清楚。

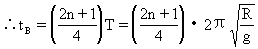
 [正确解答] 1.由题意可知,t = nt,n可以是1,2,3…,选项A是正确的。  相反,且对称于平衡位置,所以加速度的方向是相反的。

试题详情

3.选择C是对的。

试题详情

8.根据画面内容,用简要的语言表达出这幅漫画的主题(30字以内)(4分)

 

 

 

 

答:                           

试题详情

7.用一句话概括下列调查表中反映出的主要问题(4分)

    兴趣
对象
感兴趣
一般
不感兴趣
人数
百分比
人数
百分比
人数
百分比
对影视作品
74
72.55
22
21.57
6
5.88
对文学作品
47
46.08
37
36.27
18
17.65

答:                

 

试题详情

5.下面AB线段上的C点是该线段的黄金分割点,请结合图示及公式,用文字说明黄金  分割的内涵。(说明时不能出现英文字母)(4分)  

AC:AB= CB:AC

试题详情


同步练习册答案