0  324395  324403  324409  324413  324419  324421  324425  324431  324433  324439  324445  324449  324451  324455  324461  324463  324469  324473  324475  324479  324481  324485  324487  324489  324490  324491  324493  324494  324495  324497  324499  324503  324505  324509  324511  324515  324521  324523  324529  324533  324535  324539  324545  324551  324553  324559  324563  324565  324571  324575  324581  324589  447090 

19. (天津市2009年中考化学冲刺模拟题六)下图形象地表示了氯化钠的形成过程。下列相关叙述中不正确的是

 

A.钠原子在化学反应中容易失去电子   B.钠原子与钠离子都不显电性

C.氯原子得1个电子形成氯离子     D.氯化钠由钠离子和氯离子构成

试题详情

18. (天津市2009年中考化学冲刺模拟题二)

如图所示,向小试管中分别加入一定量的下列物质,

右侧U型管中液面发生明显变化,加入的物质不会是

A硝酸氨固体  B烧碱固体  C蔗糖固体  D生石灰固体

试题详情

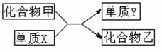
17. (天津市2009年中考化学冲刺模拟题二)

根据下列物质之间的相互转化关系回答:

(1)若乙的溶液是浅绿色,Y是红色固体,则X是      

(2)常温下乙是一种无色气体,则X是        

(3)在常温下若甲是固体,乙为无色液体,则X是        

试题详情

16、(四川省邛崃市2009年中考化学模拟试卷二) (4分)某同学做了如下家庭实验:在一个玻璃杯底部放入一支短蜡烛,并铺一层纯碱。点燃蜡烛后,沿玻璃杯壁倒人一些醋(主要成分是醋酸),可观察到的实验现象是____________________________和____________________________,说明二氧化碳具有的性质是_______________,由此可推出二氧化碳的用途之一是___________。

试题详情

15、(2分) (四川省邛崃市2009年中考化学模拟试卷二)现有A、B两个塑料软瓶,A瓶内装有CO和O2的混合气体,B瓶内装有CO2气体。某同学从野外捉来了两只活蝗虫,分别放人两个塑料软瓶中,拧紧瓶盖。结果,两只蝗虫很快都死了。请根据下面所给选项回答,造成蝗虫死亡的主要原因是:

A瓶_____,B瓶____。

①没有食物   ②气体不能供给呼吸   ③气体有毒   ④活动空间太小

试题详情

14、(四川省邛崃市2009年中考化学模拟试卷二)

医院给病人输氧时用到类似下图所示的装置。关于该装置,下列说法不正确的是(  )

A.b导管连接供给氧气的钢瓶       

B.b导管连接病人吸氧气的塑料管

C.使用该装置用来观测是否有氧气输出

D.使用该装置用来观测氧气输出的速率

试题详情

13.(四川省邛崃市2009年中考化学模拟试卷一)把分别充满红棕色NO2气体和无色H2的集气瓶,按照右图A、B两种方式放置,然后把两瓶中间的玻璃片抽走,使两瓶口密合在一起(不用振荡),可观察到A中两瓶气体的颜色很快趋于一致(两气体不反应),而B中需很长时间才能达到同样的效果。不能由此现象直接得出的结论是   (   )

A.分子是不断运动的        B.分子间有间隔

C.氢气的密度比二氧化氮的密度小  D.分子由原子构成

试题详情

12.(2009年江苏省中考化学调研卷三)有四瓶无色溶液,它们分别是:①稀盐酸、②稀硫酸、③NaOH溶液、④Na2SO4溶液。某实验小组分别对四种溶液进行了一系列实验,结果如下表:

 




加入无色酚酞溶液
不变色
变红
不变色
不变色
加入BaCl2溶液
白色沉淀
无明显现象
白色沉淀
无明显现象
加入Na2CO3溶液
无明显现象
无明显现象
产生无色气体
产生无色气体

则对应甲、乙、丙、丁顺序的四种物质是                   (   )

A.②③④①    B.④③②①   C.③④①②    D.①②④③

试题详情

11.(2009年江苏省中考化学调研卷二)(6分)甲、乙两同学想了解碳酸钾溶液的酸碱性。他们做了以下研究:

 
实  验  操  作
检测结果
甲同学
取pH试纸放在玻璃片上;
用玻璃棒蘸取碳酸钾溶液沾在pH试纸上;
将试纸显示的颜色与标准比色卡比较。
pH>7
 乙同学
将pH试纸直接浸入碳酸钾溶液中,把试纸显示的颜色与标准比色卡比较。
PH>7

(1)根据两位同学的实验可得出碳酸钾溶液酸碱性的结论:____   

(2)根据两位同学的实验操作,你认为_________同学操作不规范。为什么?

______________________________________________________  

(3)如果实验室没有pH试纸,又要一次测定未知溶液的酸碱性,可选用_______

试液来进行实验,该试剂从     色变成     色,能确定其酸碱性。

试题详情

10.(2009年江苏省中考化学调研卷二)类推是化学学习中常用的思维方法。现有以下类推结果:①酸碱中和反应生成盐和水,所以生成盐和水的反应一定是中和反应;②碱的水溶液显碱性,所以碱性溶液一定是碱溶液;③氧化物都含有氧元素,所以含有氧元素的化合物一定是氧化物;④有机物都含碳元素,所以含碳元素的化合物都是有机物。其中错误的是………………[   ]

A.只有①     B.只有①②③     C.只有②③④     D.全部

试题详情


同步练习册答案