0  351556  351564  351570  351574  351580  351582  351586  351592  351594  351600  351606  351610  351612  351616  351622  351624  351630  351634  351636  351640  351642  351646  351648  351650  351651  351652  351654  351655  351656  351658  351660  351664  351666  351670  351672  351676  351682  351684  351690  351694  351696  351700  351706  351712  351714  351720  351724  351726  351732  351736  351742  351750  447090 

21.(本小题满分12分)

4个小球完全相同,上面分别标有数字,将其放入一个不透明的盒子中摇匀,再从中随机摸球两次(第一次摸出球后放回摇匀).把第一次、第二次摸到的球上标有的数字分别记作分别作为一个点的横坐标与纵坐标.

(1)求点在函数的图像上的概率;

(2)求点不在第二象限的概率.

(用树状图或列表法求解) 

试题详情

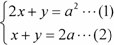
20. (本小题满分10分)

已知方程组           的解为,求的值.

试题详情

19.(本小题满分10分)

如图9,在等腰梯形中,

分别为的中点.

求证:

图9
 
 

试题详情

18.(本小题满分9分)

已知二次函数

(1)将此函数式写成的形式,并写出的值;

(2)求这个函数图像的顶点坐标及对称轴方程

试题详情

17.(本小题满分9分)

先化简,后计算:,其中.

试题详情

16. 如图8所示,1条直线最多能将圆的内部分成2部分,2条直线最多能将圆的内部分成4部分.那么3条直线最多能将圆的内部分成_______部分,5条直线最多能将圆的内部分成______部分.(每部分不要求全等)

试题详情

15. 已知反比例函数的图像与一次函数的图像在第一象限交于点,且点的纵坐标为4,则反比例函数的解析式为________________.

试题详情

14. 如图7,平行四边形中,分别是的中点,若三角形的面积

等于,则平行四边形的面积等于_______________

试题详情

13. 如图6,为等边三角形,,则

试题详情

12. 比较大小:(用“”或“”填空)

试题详情


同步练习册答案