0  351706  351714  351720  351724  351730  351732  351736  351742  351744  351750  351756  351760  351762  351766  351772  351774  351780  351784  351786  351790  351792  351796  351798  351800  351801  351802  351804  351805  351806  351808  351810  351814  351816  351820  351822  351826  351832  351834  351840  351844  351846  351850  351856  351862  351864  351870  351874  351876  351882  351886  351892  351900  447090 

第二节 听取信息(共5题,每小题1分,满分5分)(播放两遍)。

Day
What
When
Monday
Play basketball
(A)__________
(B)__________
Read an English novel
All day
Wednesday
Go to Mount YU
(C )___________
Friday
(D)_____________
All day
Saturday
Help mother (E)____________
In the afternoon

试题详情

第一节 听力理解(播放两遍)(共15题,每小题2分,满分30分)

听下面一段对话,回答1-2三个小题。

1. What is the weather like now?

A. Cold.         B. Warm.        C. Rainy.

2. Which season is it?

A. Winter            B. Autumn           C. Spring

听下面一段对话,回答3-5三个小题。

3. What are they talking about?

A. English songs          B. A football match        C. Their hobbies

4. Why does the girl join the English Song Club?

A. Because she wants to improve her English                 

B. Because she wants to be a singer             

C. Because she wants to make friends

5. What club does the boy join at school?

A. The English Song Club.      B. The Football Club       C. The Guitar Club

听下面一段对话,回答6-8三个小题。

6. What does the man do?

A. A driver               B. A policeman.                  C. A passenger

7. What does Jenny doing when the traffic accident happened ?

A. She was walking           B. She was driving a blue Toyota.       

C. She was standing outside the bank building.

8. Was the truck moving fast at that time?

A. Yes, very fast.         B. No, very slowly               C. Jenny didn’t see clearly.

听下面一段对话,回答9-11三个小题。

9. Who didn’t speak Spanish?

A. The waiter.            B. A cow.                   C. The Americans.

10. What did two Americans asks the waiter for?

A. Some milk            B. A cow                   C. Some tea

11. What did the waiter see in a piece of paper?

A. The word “milk”.         B. A cow             C. A cock

听下面一段对话,回答12-15两个小题。

12. Does the man get up as soon as he wakes up?

A. We don’t know            B. Yes, he does.       C. No, he doesn’t.

13. What time does the man usually have breakfast?

A. At 7:00                 B. At 7.30.        C. At a quarter to seven.

14. What do the children do first after they get up?

A. They go to the bathroom.     B. They have breakfast     C. They play games

15. What’s the woman’s advice?

A. Spending more time with children and exercising more

B. Staying with children all the time and taking more exercise..

C. Improving health and doing less sport.

试题详情

26.小明和同学们在探究“影响滑轮组机械效率高低的因素”时提出了下列猜想:

a)    滑轮组机械效率高低可能与动滑轮重力有关;  

b)    滑轮组机械效率高低可能与被提物体重力有关;

c)    滑轮组机械效率高低可能与物体提升高度有关;

d)    滑轮组机械效率高低可能与承重绳子段数有关.

(1)小明思考了一下,就说了在理想情况下,猜想d是正确的,而在实际情况下猜想a是正确的,请你用所学的公式与知识证明小明的两个说法是正确的还是错误的。将推导证明过程写在下面(物体重用G表示,滑轮重用G表示,物体提升高度用h表示,承重绳子段数用n表示,绳子自由端的拉力用F表示)

你认为小明的说法_____________(填正确或者错误)

(2)一位同学设计了如图18所示的四个滑轮装置,依次进行了4次实验,对上述猜想进行探究,用弹簧测力计测出绳子自由端的拉力和物体重力,记录的实验数据如下表所示:

实验次数
物体重力/N
动滑轮重力/N
拉力/N
承重绳子的段数n
机械效率
1
2
1
1
3
67%
2
4
1
1.7
3
78%
3
4
2
2
3
67%
4
4
1
2.5
 
 

(a)第4次实验(图18中的④)承重绳子的段数为     ,机械效率为    

(b)分析上面表格,由第1次和第2次实验可知,猜想      是正确的;

(c)分析上面表格,由第2次和第3次实验可知,不同滑轮组提升相同重物时,动滑轮越重,机械效率越    

2010 年广州市铁一中学初中毕业生中考模拟试题

试题详情

25.某同学为探究漂浮在水面上的物体受到的浮力大小是否遵从阿基米德原理的结论,他进行了如图17所示的实验。实验中所用弹簧测力计的一个黑格或一个白格均表示0.5N。

请回答下列问题:

(1)由图17中a的测量可知,木块受到重力的大小是_________N;由图17中a、d可知木块漂浮时受到浮力的大小是___________N。

(2)图17中b、e两次测量的目的是为了测出__________________________的大小。

(3)分析上述实验可得出初步结论:漂浮在水面上的物体受到的浮力大小___  _______阿基米德原理的结论(选填“遵从”或“不遵从”)。

试题详情

24.下面是李悝拟出的一份实验报告:

实验报告

实验原理 :欧姆定律        实验电路图:

实验步骤:

⑴ 按电路图连接电路,调节滑动变阻器RO

使电路中的电阻较大。

⑵ 闭合开关S,读出电流表和电压表的示数。

⑶ 根据测量的电压、电流的值算出RX的电阻值

U/V
I/A
RX
2.8
0.4
 

实验数据记录:

实验讨论:  略

请你评价此实验报告:

⑴ 本实验缺的主要元件是       ;报告不够完整,应添上的报告项目是:      

⑵ 从实验步骤看,主要缺陷是:          

⑶ 添加的主要元件在实验中所起的作用是        

根据实验数据记录,可知RX=_________;

⑷ 就李悝原来电路图而言,RX的测量阻值不很大,电流表也具有一定的较小电阻,而电压表连接时连成了图17的情形,则电阻值的测量结果将  (选填“偏大”“准确”、“偏小”),原因是                         

试题详情

23、下面是小赵进行物理探究实验时做的基本测量,请帮他完成: 

⑴ 液体温度计是根据液体_______________的原理制成的,图16甲中温度计的读数是_______。

⑵ 图16乙中铅笔的长度为_______________m。

⑶ 一块体积为20cm3的矿石,用图16丙所示用天平测量质量,此矿石的质量是_______g,矿石的密度是 ____________ g/cm3

⑷ 图16丁中小桶和液体的重力为 _________ N。

试题详情

22.陈锋同学的家到学校本是一条在同一水平面上的直路,爱动脑的陈锋做了这样的设想:要是将从家到学校的路挖成一个“U”字形(如图15所示),只要从家骑上自行车后,不用刹车也不用踩车,等车停下来就可以到达学校了。请你简要说明:

(1)陈锋同学的设想的机械能转化过程

(2)陈锋同学的设想在现实中可以实现吗?

  为什么?(请根据有关物理知识说明)

试题详情

21.如图14所示为某辆赛车启动过程的频闪照片.该赛车从赛道的起点处(车头所对的零刻度线位置)由静止开始出发,同时,照相机开始拍照,以后车沿直线向右运动的过程中,照相机每隔0.2s曝光一次. 仔细观察频闪照片,如果赛车照此规律从起点运动0.8s到达D处.

位置
起点
A
B
C
D
时间/s
0
0.2
0.4
0.6
0.8
路程/m
0
1
4
9
 
运动形式
 

(1)填写表格中所缺的数据(不需要估读),并判断赛车启动过程做什么运动?

(2)若赛车自重1250kg,每条轮胎与地面的接触面积为125cm2  ,启动过程的牵引力保持在4000N,0.8s到达D处时,汽车在停在水平地面的压强和牵引力做了多少功?(g=10N/kg)

(3)若赛车的牵引力用F 表示,速度用v 表示,发动机的功率用P 表示,请你利用功率的定义式,推导出FP v 之间的关系式.

(4)若赛车的发动机在90kW的额定功率下工作,此时车匀速行驶的速度大小为30m/s,求牵引力F 的大小和所受阻力f 的大小.

试题详情

解答应写出必要的文字说明、公式和重要演算步骤.只写出最后答案的不能得分.有数值计算的题,演算过程及结果都要在数字的后面写上单位.

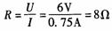
20.(1)标有“6V 3W ”的小灯泡L与额定功率为6W的电阻器R按如图13电路连接,闭合开关S时,灯L正常发光,且电流表示数为0.75A。求:

①电阻器 R 的阻值;

②整个电路消耗的实际功率。

小强同学的求解如下:

解: ① 根据欧姆定律,电阻器的电阻

② 电阻R消耗的实际电功率PR= 6W,整个电路消耗的实际功率

PPR+PL = 6W + 3W= 9W

请你指出小强同学求解过程中存在的错误,并做出正确的解答。

(2)请解释当电流流过电阻时能量的转化,并计算电阻通电2分钟时产生的多少热量?

(3)如果将灯泡和电阻改为串联时,整个电路消耗的实际功率会是多少?

试题详情

19.图12所示,现有一个电池组、滑动变阻器、开关(总开关)和两盏电灯,请你连接好符合下面要求的电路:L1的亮度不变,L2的亮度可调节。

 

试题详情


同步练习册答案