0  352438  352446  352452  352456  352462  352464  352468  352474  352476  352482  352488  352492  352494  352498  352504  352506  352512  352516  352518  352522  352524  352528  352530  352532  352533  352534  352536  352537  352538  352540  352542  352546  352548  352552  352554  352558  352564  352566  352572  352576  352578  352582  352588  352594  352596  352602  352606  352608  352614  352618  352624  352632  447090 

11.下列有关动物胚胎移植的叙述中,错误的是(  )

A.受孕母畜体内的早期胚胎能够移植 

B.受体母畜必须处于与供体母畜同步发情的状态

C.超数排卵技术要使用一定的激素  

D.试管婴儿的受精及胚胎发育过程在试管内完成

试题详情

10.所谓“实质性等同”是指(  )

A.转基因农作物中的成分完全没发生改变

B.转基因农作物中的部分成分没发生改变

C.转基因农作物中只要某些重要成分没有发生改变,就可以认为与天然品种“没有差别”

D.“实质性等同”是对转基因农作物安全性的最终评价

试题详情

9.根据下列图示作出的判断,不正确的是(  )

A.若甲中a和b分别代表乳酸菌和蓝藻,d可以代表原核生物

B.乙图能体现酶(c)、蛋白质(a)和固醇类物质(b)的关系

C.丙图可表示糖(b)和糖原(a)的关系

D.丁图可体现出细胞(c)、核糖体(a)和线粒体(b)的关系

试题详情

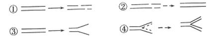
8.右图为DNA分子在不同酶的作用下所发生的变化,其中能表示基因工程中工具酶作用的图解是(  )

A.①② 

B.②③ 

C.①③ 

D.①②③

试题详情

7.动物细胞工程常用的技术手段中,最基础的是(  )            

A.动物细胞培养    B.动物细胞融合  C.单克隆抗体     D.细胞核移植

试题详情

6.下列关于细胞结构及其组成化合物的叙述,错误的是(  )

A.动植物细胞最外层结构水解都能生成糖类化合物

B.脂质具有运输、传递信息和组成细胞结构的功能

C.促甲状腺激素只能与甲状腺细胞接触,是由于甲状腺细胞具有特定的膜蛋白

D.内质网是加工、包装、分类和发送蛋白质的细胞器

试题详情

5.体外受精的场所是(  )

A.在水溶液中               B.在盐溶液中 

C.在获能溶液或专用的受精溶液中      D.在酒精溶液中

试题详情

4.2010年“两会”政协委员提案约10%与低碳有关,这表明,“低碳”不再只是概念。“低碳生活”和“低碳经济”正在成为全社会的共识,成为人们所期待的最为主导的生存和发展方式,以下关于“低碳”的说法不正确的是(  )

A.“低碳”指大气中的二氧化碳浓度过低

B.二氧化碳排放量过大容易导致地球出现温室效应

C.尽量减少塑料袋使用量,遏制白色污染是转向“低碳生活”的途径之一

D.“低碳经济”是以低能耗、低污染、低排放为基础的经济模式

试题详情

3.下列关于基因的叙述中,正确的是(  )

A.每一个DNA片段都是一个基因     B.每一个基因都控制着一定的性状

C.有多少个基因就控制着多少遗传性状  D.基因控制的性状都能在后代表现出来

试题详情

2.英国科学家拉马克里希南、美国科学家施泰茨和以色列科学家约纳特因“对核糖体结构和功能研究”的突破性贡献而获2009年诺贝尔化学奖。下列有关核糖体的叙述不正确的是(  )

A.核糖体的组成成分中含有磷脂     B.原核细胞和真核细胞中都有核糖体

C.核糖体的形成与细胞核内的核仁有关  D.一条mRNA上可以结合多个核糖体

试题详情


同步练习册答案