0  355679  355687  355693  355697  355703  355705  355709  355715  355717  355723  355729  355733  355735  355739  355745  355747  355753  355757  355759  355763  355765  355769  355771  355773  355774  355775  355777  355778  355779  355781  355783  355787  355789  355793  355795  355799  355805  355807  355813  355817  355819  355823  355829  355835  355837  355843  355847  355849  355855  355859  355865  355873  447090 

19、(本小题满分14分)

如图:某污水处理厂要在一个矩形污水处理池的池底水平铺设污水净化管道是直角顶点)来处理污水,管道越长,污水净化效果越好.设计要求管道的接口的中点,分别落在线段上.已知米,米,记.

(1)试将污水净化管道的长度表示为的函数,并写出定义域;

(2)若,求此时管道的长度

(3)问:当取何值时,污水净化效果最好?并求出此时

管道的长度.

答案1、解:(1)  …………2分

 ……………………………………………………4分

由于

…………………………………………………5分

 , .……………………………6分

(2) 时,,………………………………………7分

;……………………………………………………………………8分

(3)=       

  则……………………………………10分

由于,所以 …12分

内单调递减,于是当时         

的最大值米. ………………………………………………………13分

答:当时所铺设的管道最短,为米.………………14分

试题详情

18、(本小题满分14分)

设平面内有四个向量,且满足=-=2-, ||=||=1

(1)求||,||;

(2)若的夹角为,求cos.

解:(1)

……4分
 
解得:

……5分
 

……8分
 

……10分
 
(2)由

……12分
 

……14分
 

试题详情

17、(本小题满分14分)

已知函数+1,求:

(1)求函数的单调减区间;

(2)求函数的最大值,以及函数取得最大值时自变量的集合

解:(1)将函数化简+1=

……6分
 
            ==

……7分
 
时,即

……9分
 
函数的单调减区间为

……11分
 
(2)当=1时,函数取得最大值为

此时=

……12分
 

……14分
 
故函数取得最大值时的自变量集合为

试题详情

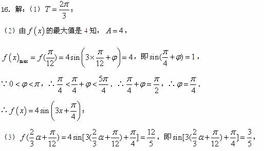
16、(本小题满分12分)

已知函数时取得最大值4。

(1)求的最小正周期;

(2)求的解析式;

……3分
 
(3)若,求

……12分
 
……4分
 
……8分
 

试题详情

15、(本小题满分12分)已知,且

(1)求的值

(2)求的值

解:(1)由,得,又……6分

(2)==……12分

试题详情

14、已知函数的值域为__________

试题详情

13.给出下列命题:

①存在实数,使

②函数+1的一个对称中心为

是函数的一条对称轴方程

④若是第一象限的角,且,则

其中正确命题的序号是__________③___________

试题详情

12、如图所示,程序框图(算法流程图)的输出值____12____。

试题详情

11、以点(2,)为圆心且与直线相切的圆的方程是

试题详情

10.已知,,,其中O为原点,则夹角的范围为                        (  D  )

A.    B.     C.    D .

第Ⅱ卷(非选择题  共80分)

试题详情


同步练习册答案