0  356518  356526  356532  356536  356542  356544  356548  356554  356556  356562  356568  356572  356574  356578  356584  356586  356592  356596  356598  356602  356604  356608  356610  356612  356613  356614  356616  356617  356618  356620  356622  356626  356628  356632  356634  356638  356644  356646  356652  356656  356658  356662  356668  356674  356676  356682  356686  356688  356694  356698  356704  356712  447090 

19. HO-CH2-CH=CH-CI 该有机物能发生的反应是①取代  ②加成  ③与AgNO3溶液反应生成白色沉淀  ④消去  ⑤使溴水褪色  ⑥聚合 ⑦与Na反应 ⑧使酸性高锰酸钾褪色(   )

A. 除③不能   B.除⑥不能   C. 只有①②能    D.只有⑧能 

试题详情

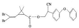
18.拟除虫菊酯是一类高效、低毒、对昆虫具有强烈触杀作用的杀虫剂,其中对光稳定的溴氰菊酯的结构简式如图,下列对该化合物叙述正确的是(   )

A.属于芳香烃

B.属于卤代烃

C.在酸性条件下不能水解

D.在一定条件下可以发生加成反应

试题详情

17.某烯烃与H2加成后的产物是, 则该烯烃的结构式可能有(  )A.1种     B.2种       C.3种        D.4种

试题详情

16.下列过程属于化学变化的是 ( )

A.蒸馏     B.裂化    C.萃取    D.重结晶

试题详情

15. A、B两种烃,它们的碳的质量分数相同,下列关于A和B的叙述正确的是(   )

A.A和B一定是同分异构体      B.A和B不可能是同系物

C.A和B最简式一定相同       D.A和B的化学性质相似

试题详情

14.下列化合物属于苯的同系物的是(   )

      

试题详情

13.用于制造隐形飞机物质具有吸收微波的功能,

其主要成分的结构如图,它属于(   )

A.无机物       B.烃

C.高分子化合物    D.有机物

试题详情

12.下列分子式表示的物质,具有同分异构体的是(   )

A. C3H7Cl    B. C3H8    C. CH2Cl2    D. CH3OH

试题详情

11. 下列醇类能发生消去和氧化反应的是(   )

A. CH3OH         B.  

 CH3                        CH3

C.CH3-C-CH2OH      D.CH3-C-CH3

CH3                         OH

试题详情

10. 下列有机物中,不属于烃的衍生物的是(   )

A. CH3--Cl    B. CH3CH2NO2

C. CH2==CHBr    D.

试题详情


同步练习册答案