0  357263  357271  357277  357281  357287  357289  357293  357299  357301  357307  357313  357317  357319  357323  357329  357331  357337  357341  357343  357347  357349  357353  357355  357357  357358  357359  357361  357362  357363  357365  357367  357371  357373  357377  357379  357383  357389  357391  357397  357401  357403  357407  357413  357419  357421  357427  357431  357433  357439  357443  357449  357457  447090 

14.在物理学发展的过程中,许多物理学家的科学研究推动了人类文明的进程.在对以下几位物理学家所做科学贡献的叙述中,正确的说法是:

  A.卡文迪许用实验的方法测出万有引力常量G

  B.牛顿应用“理想斜面实验”推翻了亚里士多德的“力是维持物体运动的原因”观点

  C.亚里士多德认为两个从同一高度自由落下的物体,重物体与轻物体下落一样快

  D.胡克认为只有在一定的条件下,弹簧的弹力才与弹簧的形变量成正比

试题详情

13.从下列事实所引出的相应结论,正确的是

试题详情

2.阿伏加德罗常数为6. 02 ×,下列叙述不正确的是

  ①12. 4g白磷晶体中含有的P-P键数是0.6 ×6.02 x

  ②电解精炼铜的过程转移6. 02×个电子时,阳极溶解32g铜

  ③7.8g的混合物中含有的阴离子数大于0.1×6.02×

  ④催化作用下于密闭容器中加热反应后,容器内的分子数大于2×6.02×

  ⑤2 9g熟石膏()含有结晶水的分子数为0.02×6 02× (2的相对分子质量为290)

  ⑥含的浓硫酸与足量铜反应,生成的分子数为0.1×6 02×

  A.①②③⑧⑤  B.①③④⑤⑥  C②③⑤⑥   D. ③④⑤⑥

试题详情

10.用下列实验装置实验,能达到相应实验目的的是

A.装置甲:防止铁钉生锈

B.装置乙:除去乙烯中混有的乙炔

C.装置丙:验证HCl气体在水中的溶解性

D. 装置验室制取乙酸乙脂

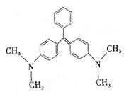
1l.近年来食品安全问题成为社会各界日益关注的焦点话题。香港地区食环署食物安全中心曾对十五个桂花鱼样本进行化验,结果发现十一个样本中含有孔雀石绿。孔雀石绿是化工产品,具有较高毒性,高残留,且长期服用后,容易致癌、致畸,对人体有害。其结构简式如

图所示。下列关于孔雀石绿的说法正确的是

  A.孔雀石绿的分子式为

  B l moI孔锃石绿在一定条件下最多可与6mol发生加成反应

  C孔雀石绿属于芳香烃

  D孔雀石绿苯环上的一氯取代物有5种

试题详情

6.净初级生产力(NPP:net primary productivity)是生产者能用于生长、发育和繁殖的能量值,也是生态系统中其他生物成员生存和繁衍的物质基础。净初级生产力=总初级生产力-自身 呼吸消耗。地球上的生态系统种类繁多,其净初级生产力有很大差异。下表为地球上主要生态系统的总而积及净初级生产力的数值。下列叙述错误的是(   )

  A.以上各类生态系统的组成成分是生产者、消费者和分解者

  B.陆地生态系统中的热带雨林是生物圈最主要的能量基地 

  c.群落结构单一的农田净初级生产力较高的主要原因是人为的使能量向农作物集中

  D.净初级生产力除未利用的部分外,其余的则被初级消费者和分解者利用

7 下列离子共存的说法或离子方程式的书写中,正确的一组是

  ①通入大量后的溶液中能大量共存的离子:

  ②的溶液中能大量共存的离子:

  ③水电离出的溶液中能大量共存的离子:

  ④溶液加人足量ikiaol1溶液共热:

  ⑤用食醋溶解水垢:

   

 ⑥硫酸氖钠溶液中滴入氢氧化钡溶液至

 

⑦用FeCl,溶液腐蚀铜电路板:

  A.①③⑦   B.②④⑦   C.②⑥⑦  D.③④⑥

8某密闭容器中发生如下反应:

右图表示该反应的速率(v)随时问(t)变化的关系,时刻外界条件有所改变,但都没有改变各物质的初始加入量。下列说法中正确的是

A.时加入了催化剂  B.时降低了温度           C.时增大了压强 

D.~时问内转化率最低

9由短周期元素组成的中学常见无机物A、B、C、 D、E、X存在如在右图转化关系(部分生成物和反应条件略去)下列推断不正确的是(   )

A若X是,C为含极性键的非极性分子,则A一定是氯气,且D和E不反应

B,若A是单质,B和D的反应是,则E一定能还原

c.若D为CO,C能和E反应,则A一定为,其电子式是Na'[O:O:]’Na'

D.若D为白色沉淀,与A摩尔质量栩等,则X一定是铝盐

试题详情

5.下图表示某生态系统中甲、乙两种群在一段时间内数量的变化情况。下列有关叙述错误的是(   )

A.两个种群问能量流动方向是甲→乙          

B. M时甲种群的出生率小于死亡率

C.两个种群数数量变化说明了信息传递是双向的

D.两种群数量波动会导致其中一个种群

灭亡

试题详情

4.在一个种群中AA占25%,Aa占50%,aa占25%。如果因为环境的变化,每年aa的个体减少20%,AA和Aa的个体分别增加20%。一年后,aa的个体在种群中的比例为(   )

  A.23.7%   B. 20%   C. 18. 2%   D.15.6%

试题详情

3.右图为某家族遗传病系谱图,下列说法正确的是(   ) 

 A.由l x2 4和5,可推知此病为显性遗传病

 B.根据6与9的关系,可推知致病基因在常染色体上                 

C.2号、5号的基冈型分别为AA、Aa

D.若7号和8号结婚,则生一个患病男

孩的概率为1/6

试题详情

2.美国一项新研究发现,细胞分裂增殖时一旦缺乏某种蛋白质将导致细胞癌变。则下列有关说法正确的是(   )

 A.治疗癌症的方法之一是用药物抑制癌细胞的DNA复制.这将导致处于问期的细胞数目相对增多

  B.癌细胞有丝分裂时,DNA复制发生于问期,而染色体复制发生于前期

  C.观察动物的癌变组织进行有丝分裂时,在分裂末期染色单体彼此分开,向两极移动

  D.右图能够表示某癌细胞有丝分裂前期和后期的三个重要数值的相对量

试题详情

1.由中科院院士汪尔康和第三世界科学院院士董绍俊研究员等承担的国家自然科学基金重点基金项目“模拟生物膜体系的生物电化学研究”已取得了一批具有重要学术影响的成果,对生物电化学、生物传感器、纳米技术等领域具有重要的指导意义。下列有关叙述中正确的是  (   )

  A.细胞膜属于生物膜,并且是双层膜结构

  B.用蛋白酶处理生物膜会改变其组成,但不会改变其通透性

  C.生物传感器的原理与细胞膜上的糖被有关

  D.生物电化学的研究应该与生物膜上的带电粒在有关,与蛋白质无关

试题详情


同步练习册答案