0  360484  360492  360498  360502  360508  360510  360514  360520  360522  360528  360534  360538  360540  360544  360550  360552  360558  360562  360564  360568  360570  360574  360576  360578  360579  360580  360582  360583  360584  360586  360588  360592  360594  360598  360600  360604  360610  360612  360618  360622  360624  360628  360634  360640  360642  360648  360652  360654  360660  360664  360670  360678  447090 

12.若在由正整数构成的无穷数列{an}中,对任意的正整数n,都有an ≤ an+1,且对任意的正整数k,该数列中恰有2k-1个k,则a2008=       .

20080602
 
二、选择题(本大题满分16分)本大题共有4题,每题都给出代号为A、B、C、D的四个结论,其中有且只有一个结论是正确的,必本大题满分16分)须把正确结论的代号写在题后的圆括号内,选对得4分,不选、选错或者选出的代号超过一个(不论是否都写在圆括号内),一律得零分.

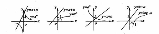
  13.下列函数图象中,正确的是                      (   )

       A         B         C        D

        A        B         C        D

试题详情

11.若在展开式中,x的一次项是第六项,则n=        .

试题详情

10.给出下列命题:(1)常数列既是等差数列,又是等比数列;(2)实数等差数列中,若公差d<0,则数列必是递减数列;(3)实数等比数列中,若公比q>1,则数列必是递增数列;(4);(5)首项为a1,公比为q 的等比数列的前n项和为Sn=. 其中正确命题的序号是             .

试题详情

9.设方程x2-2x+m=0的两个根为a、b,且|a-b|=2,则实数m的值是     .

试题详情

8.圆(x+2)2+(y–1)2 = 5关于直线y=x对称的圆的方程为         .

试题详情

7.设A(2,),B(3,)是极坐标系上两点,则|AB|=       _.

试题详情

6.方程2cos(2x–) = 1的解是             .

试题详情

5.现有形状特征一样的若干个小球,每个小球上写着一个两位数,一个口袋里放有标着所有不同的两位数的小球,现任意取一个小球,取出小球上两位数的十位数字比个位数字大的概率是       .

试题详情

4.在公差不为零的等差数列{an}中,Sm=Sn(m≠ n),则Sm+n­值是       .

试题详情

3.向量满足||=2,||=3,且|+|=,则.=    .

试题详情


同步练习册答案