0  364648  364656  364662  364666  364672  364674  364678  364684  364686  364692  364698  364702  364704  364708  364714  364716  364722  364726  364728  364732  364734  364738  364740  364742  364743  364744  364746  364747  364748  364750  364752  364756  364758  364762  364764  364768  364774  364776  364782  364786  364788  364792  364798  364804  364806  364812  364816  364818  364824  364828  364834  364842  447090 

1、甲乙两车在平直道路上同向运动,其v--t图象如

图所示,图中ΔOPQ和ΔOQT的面积分别为S1和S2

(S2>S1),初始时甲车在乙车前方S0处(  )

A:若S0=S1+S2,两车不会相遇。

B:若S0<S1,两车相遇2次。

C:若S0=S1,两车相遇1次。

D:若S0=S2,两车相遇1次。

试题详情

22、已知数列满足,数列的前n项和为

(1)求证:数列是等比数列;

(2)求

(3)设,求证:

解(1)由  得

  

  (2) 

 

(3)

 

   

 

 

 

试题详情

21、设函数

(1)令,判断并证明上的单调性,并求

(2)求函数的最小值;

(3)是否存在实数m,n,满足-1<m<n,使得在区间[m,n]上的值域也为[m,n]。

                 与m<n矛盾

                    不存在这样的实数m,n

    

试题详情

20、在平面内有两个向量,今有动点P从开始沿着与向量相同方向做匀速直线运动,速度为︱︱;另一动点Q从点(-2,-1)出发,沿着与向量

相同的方向做匀速直线运动,速度为︱︱,设点P、Q在时刻t=0秒时分别在

处,求PQ⊥时,用了多长时间

解:

 

   

  . 

     

            

            (秒)

            用了2秒

试题详情

19、已知向量,函数

(1)若,求方程的根;

(2)若函数的最小值为,求实数的值。

解:(1) 

 

    =cos

   当 

             

  

(2),

     =

  

1,当         3,当

           当 

2,当                得

            得上

 

试题详情

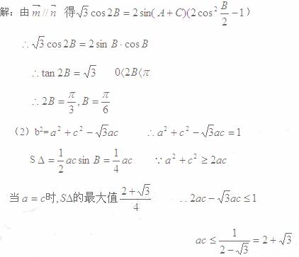
18、已知锐角△ABC中,角A.B.C所对边分别是a.b.c,

,且

(3)    求角B的大小;

(4)    如果b=1,求△ABC面积的最大值。

试题详情

17、数列的前n项和记为

(1)t为何值时,数列是等比数列?

(2)在(1)的条件下,若等差数列的前n项和有最大值,且,又成等比数列,求

  解:(1)

    n

 

   (2)设等差数列{bn}的合差为d(d<0),由T3=15,得b2=5,而

    成等比数列   (b-d)(d+14)=82

           

           

                =

试题详情

15、    169                 16、   ①、③              

试题详情

13、                     14、    33           

试题详情

22、已知数列满足,数列的前n项和为

(1)求证:数列是等比数列;

(2)求

(3)设,求证:

靖安中学高三年级10月月考数学答卷(理)

试题详情


同步练习册答案