0  365361  365369  365375  365379  365385  365387  365391  365397  365399  365405  365411  365415  365417  365421  365427  365429  365435  365439  365441  365445  365447  365451  365453  365455  365456  365457  365459  365460  365461  365463  365465  365469  365471  365475  365477  365481  365487  365489  365495  365499  365501  365505  365511  365517  365519  365525  365529  365531  365537  365541  365547  365555  447090 

7、据史料记载,明太祖朱元璋有一天问大臣:“天下谁人最快活?”有的人说:“金榜题名。”有的人说:“功成名就者快活。”朱元璋听了都不以为然。当听到万钢说“畏法度者快活”时,却极为赞赏地点点头,随后对其委以重任。朱元璋赞赏万钢并委以重任的原因是:

A.其他大臣的回答自相矛盾      B.万钢的回答强调了对专制统治的服从

C.万钢的回答揭示了快乐的源泉   D.其他大臣的回答背离了主题

试题详情

6、王安石于公元1042年中进士,先后做过苏州通判,常州知州等地方官,到公元1069年被提拔为参知政事。以下对王安石仕途中职位的描述,错误的是

A.通判负责监督州郡长官      B.通判的设置有利于中央加强对地方的控制

C.知州管理地方行政         D.参知政事行使地方监察权

试题详情

5、史载:汉景帝时,景帝的弟弟梁孝王入宫晋见,皇帝相当亲热,得知梁孝王有五位儿子,便赐给他们五人侯爵之位,并赏赐许多物品。梁孝王死后,景帝将梁孝王所遗之国分为五份,每位侯爵一份,又把他们的爵位通通提升为王。历史学者读到这段故事,最恰当的解释是

A.皇帝友爱兄弟,也疼爱子侄

B.皇帝用提升梁王子孙的爵位的方法来削弱封国实力

C.皇帝加强位于在边境的梁国的屏障功能以抵御外患

D.皇帝推行开发边疆政策,使边境国梁国得到发展

试题详情

4、“撇开道德方面的考虑,秦只维持了那么短的时间,也是一件好事。不寻常的是尽管昙花一现,它却成功地把一套国家官僚机器的制度传给了它的政治继任者。”这套“制度”包括:①行省制度②皇帝制度③郡县制度④三公九卿制度 A.①②③       B.②③④      C.①② ④      D.①②③④

试题详情

3、“这是一个划时代的社会结构,没有封国封爵,没有公候伯子男。……尤其是儒家学者更是大起恐慌,简直就是打碎他们的饭碗了”。这个时代是指

A.春秋战国       B.秦代       C.汉代      D.唐宋时期

试题详情

2、关于秦朝设郡的数目,学术界有不同的看法,如王国维《秦郡考》考证共有48郡,谭其骧《秦郡新考》推定为46郡。某同学在考证秦设郡的具体数目时,收集到以下几个方面的资料,其中最可信的应是

A.《汉书》的记载    B.民间的传说     C.史家的研究论文     D.秦简的记载

试题详情

1、“先王之法,立天子不使诸侯疑焉,立诸侯不使大夫疑焉。立适子不使庶孽疑焉。疑生争,争生乱。是故诸侯失位则天下乱,大夫无等则朝廷乱。”这表明西周实行嫡长子继承制的目的是

A.确立嫡长子的最高地位        B.保证贵族血统的纯正

C.防止内部纷争,强化中央集权制度   D.解决权位和财产的继承与分配,稳定统治秩序

试题详情

25、(5分)标准状况下,用一定量的水吸收氨气后制得浓度为12. 0 mol·L-1、密度为0.915 g·cm-3的氨水。试计算1体积水吸收多少体积的氨气可制得上述氨水。 (本题中氨的式量以 17.0计,水的密度以1.00g·cm-3

试题详情

24.(8分)某待测溶液中可能含有Na+、SO42-、SO32-、CO32-、Cl、NO3-、HCO3-等离子,进行了下述实验。(所加BaCl2、H2SO4、HNO3、Ca(OH)2均过量)

(1) 判断待测液中有无SO42-、SO32-,并说明理由:_____________________________;

(2) 写出沉淀B的化学式:____________;

(3) 沉淀C可能是什么物质:____________;

(4) 写出产生沉淀B的离子方程式:____________________________________。

试题详情

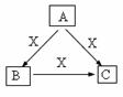
23.(12分)A、B、C、X是中学化学常见物质,均由短周期元素组成,转化关系如图。请针对以下三种不同情况回答:

(1)若A、B、C中均含同一种常见金属元素,该元素在C中以阴离子形式存在。则A中含有的金属元素的名称为___________。

(2)若A为固态非金属单质,A与X同周期,常温常压下C为白色固体,B分子中各原子最外层均为8电子结构。

① B的电子式为_________________。

② C与水剧烈反应,生成两种常见酸,反应的化学方程式为:

____________________________________________________________。

(3)若A、B、C的焰色反应均呈黄色,水溶液均为碱性。

① A中所含有的化学键是_______________、________________。

② 将4.48 L(标准状况下)X通入100 mL3 mol/L A的水溶液后,溶液中离子浓度由大到小的顺序为__________________________________________________。

试题详情


同步练习册答案