0  375171  375179  375185  375189  375195  375197  375201  375207  375209  375215  375221  375225  375227  375231  375237  375239  375245  375249  375251  375255  375257  375261  375263  375265  375266  375267  375269  375270  375271  375273  375275  375279  375281  375285  375287  375291  375297  375299  375305  375309  375311  375315  375321  375327  375329  375335  375339  375341  375347  375351  375357  375365  447090 

2、输电线的电阻共计r输送的电功率为p输电电压为U则用户能得到的电功率是:(B )

A. P      B.P-(P/U)r      C.I2R     D. (P/U)r

试题详情

1、在电能输送过程中,若输送的电功率一定,则在输电线上损失的电功率:(ACD )

 A.随输电线电阻的增大而增大

 B.和输送电压的平方成正比

 C.和输电线上电压降落的平方成正比

 D.和输电线中电流强度的平方成正比

试题详情

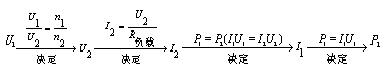
2.远距离输电电路图如图5-5-1所示:

 

若输电线电阻R,输电功率为P,输电电压U1,则输电导线的电流I2=P/U1

输电导线上的电压降(电压损失)U=I2R=PR/U1

输电导线上的功率损耗P=I22R =U2/R=P2R/U12

[范例精析]

例1、发电机的输出电压为220V,输出功率为44KW,每条输电线电阻为0.2Ω,求用户得到的电压和电功率各是多少?如果发电站先用变压比为1:10的升压变压器将电压升高,经同样输电线路后,再经过10:1的降压变压器降压后供给用户,则用户得到的电压和电功率又各是多少?

分析与解答:输送电路原理图如图5-5-2。

发电站输出的功率P是一定的,当以220伏的电压输出时,输出电流应该是:

     I=P/U=44000W/220V=200A

 两条输电线路的总电阻为0.4Ω,则导线上损失的电功率为:

     P=I2r=(200A)2×0.4Ω=16kW

 用户得到的电功率为P=P-P=44kW-16kW=27kW

 在导线上损失的电压为: U=I2r=200V×0.4Ω=80V.

 用户得到的电压为:U=U-U=220V-80V=140V

 如果用1:10的变压器将电压升高到2200V后再输送出去,则输出电流为:

   I=P/U=44000W/2200V=20A 

  P=I2r=(20A)2×0.4Ω=160W

 用户得到的电功率为P=P-P=44kW-160W=43.83kW

 在导线上损失的电压为: U=I2r=20V×0.4Ω=8V.

 加到用户端变压器上的电压为:U=U-U=2200V-80V=2192V

 经过变压器降压后输送给用户的电压为:219.2V.

例2、一个小型水力发电站,发电机输出电压U0=250V,内电阻可以忽略不计,最大输出功率为Pm=30kW,它通过总电阻R线=2.0Ω的输电线直接向远处的居民区供电。设居民区所有用电器都是额定电压U=220V的白炽灯,总功率为P=22kW,不计灯丝电阻随温度的变化。

(1)当居民区的电灯全部使用时,电灯两端的电压是多少伏?发电机实际输出的电功率多大?

(2)若采用高压输电,在发电机端用升压变压器,在用户端用降压变压器,且不计变压器和用户线路的损耗。已知用户变压器的降压比为40:1,当全部用户电灯正常发光时,输电线上损耗的功率多大?

 

解析:(1)如图5-5-3,

P=U2/R=2.2Ω,

   I=U0/(R+R线)=250/4.2=59.5(A)

   U=IR≈130.9V≈131V

   P=U0I=14880W≈14.9kW

  (2)如图5-5-4,P=U4I4, U4=220V, I4=110A

   I3/I4=n4/n3,  I3=I4/40=2.5A

   ∴P=I32R线=12.5W

拓展:关于电能输送问题,应详细作出输送原理图,分析电路特点,认真仔细解题。

[能力训练]

试题详情

[要点导学]

1.本节内容重点是:输电线上损失电能的原因和输电线上损失的电能的计算。本节内容难点是:输电系统的“输电电压”、“用户得到的电压”和输电线上“损失的电压”三者的区别与联系。

试题详情

3.负载制约:①变压器副线圈中的功率P2由用户负载决定,P2=P负1+P负2+…;②变压器副线圈中的电流I2由用户负载及电压U2确定,I2=P2/U2;③总功率P=P线+P2

动态分析问题的思路程序可表示为:

思路5:原理思路

变压器原线圈中磁通量发生变化,铁芯中ΔΦt相等

试题详情

2.电流制约:当变压器原、副线圈的匝数比(n1/n2)一定,且输入电压U1确定时,原线圈中的电流I1由副线圈中的输出电流I2决定,即I1=n2I2/n1

试题详情

1.电压制约:当变压器原、副线圈的匝数比(n1/n2)一定时,输出电压U2由输入电压决定,即U2=n2U1/n1

试题详情

12、一台理想变压器原、副线圈匝数比为10:1,原线圈接U=100sin100πtV的交变电压,副线圈两端用导线接规格为“6V,12W”的小灯,已知导线总电阻r=0.5Ω,试求:副线圈应接几盏小灯?这些小灯又如何连接才能使这些小灯都正常发光?

4盏,并联

变压器问题解题思路

思路1:电压思路

变压器原、副线圈的电压之比为U1/U2=n1/n2;当变压器有多个副绕组时U1/n1=U2/n2=U3/n3=……。

思路2:功率思路

理想变压器的输入、输出功率为P=P,即P1=P2;当变压器有多个副绕组时P1=P2+P3+……。

思路3:电流思路

I=P/U知,对只有一个副绕组的变压器有I1/I2=n2/n1;当变压器有多个副绕组时n1I1=n2I2+n3I3+……。

思路4:制约思路

试题详情

11、实验室中一只小发电机可输出交变电压u=11sin100πtV,为使规格为“220V,60W”的白炽灯正常发光,必须接上一只变压器,试求这只变压器原副线圈的匝数比及原线圈中的电流。在绕制这只变压器时使用的导线有粗、细两种不同的规格,原线圈应该用哪一种导线?

1/20  60/11 粗

试题详情

10、有一理想变压器在其原线圈上串一熔断电流为I0=1A的保险丝后接到220V交流电源上,副线圈接一可变电阻R作为负载,如图5-4-10所示,已知原、副线圈的匝数比n1:n2=5:1,问了不使保险丝熔断,可变电阻的取值范围如何?

大于8.8Ω

试题详情


同步练习册答案