0  389485  389493  389499  389503  389509  389511  389515  389521  389523  389529  389535  389539  389541  389545  389551  389553  389559  389563  389565  389569  389571  389575  389577  389579  389580  389581  389583  389584  389585  389587  389589  389593  389595  389599  389601  389605  389611  389613  389619  389623  389625  389629  389635  389641  389643  389649  389653  389655  389661  389665  389671  389679  447090 

8.(2010·南通调研)下图表示某草原生态系统中能量流动图解,①-④表示相关过程能量

流动量。下列有关叙述正确的是                    ( )

A.①是流入该生态系统的总能量

B.分解者获得的能量最少

C.图中②/①的比值代表草→兔的能量传递效率

D.③和④分别属于草和兔同化量的一部分

解析:流入该生态系统的总能量应该是草同化的总能量。①代表的是兔同化的总能量,图中②代表的是狐同化的总能量,则②/①的比值代表兔→狐的能量传递效率。兔子粪便中的能量并不是兔子同化量的一部分,而是草同化量的一部分;兔子遗体残骸中的能量属于兔子同化量的一部分。

答案:D

试题详情

7.生活废物中常有生活污水、洗涤剂、生活垃圾、塑料袋等,对其处理的描述正确的

是                                  ( )

A.未经处理便直接排放到河流的污水含有机物多,会引起水质富营养化

B.洗涤剂帮助杀死腐生性细菌和腐生性真菌,利于污水处理厂处理污水

C.生活垃圾是土壤污染的重要因素,且有机物降解时还会吸引害虫传播疾病

D.塑料袋、一次性饭盒等制品不易降解,对环境污染较大,应减少使用

解析:处理有机物污染时可以用微生物将其分解,杀死微生物不利于污水处理。

答案:B

试题详情

6.下列关于生态系统自我调节能力的叙述中,错误的是           ( )

A.森林中,害虫数量增加时食虫鸟也会增多,害虫种群的增长就受到抑制,这属于

生物群落内的负反馈调节

B.负反馈调节在生态系统中普遍存在,它是生态系统自我调节能力的基础

C.自我调节能力强的生态系统,其稳定性也高

D.当外界干扰强度超过一定限度时,生态系统的自我调节能力将会丧失

解析:生态系统的稳定性包括抵抗力稳定性和恢复力稳定性两个方面。营养结构越

复杂,其自我调节能力越强,抵抗力稳定性越强,而恢复力稳定性越差。

答案:C

试题详情

5.生物多样性的价值一般可概括为三个方面:潜在价值、间接价值和直接价值。下列哪

个选项体现了间接价值                         ( )

A.森林和草地对水土的保持作用

B.科学家利用野生水稻培育高产杂交水稻

C.结构简单的微生物通常作为实验材料

D.形态各异的动物为艺术创作提供了材料

解析:生物多样性的间接价值是指对生态系统的重要调节功能,也叫生态功能。

答案:A

试题详情

4.下列叙述正确的是                          ( )

A.生态系统的自我调节能力是有一定限度的

B.不断酸化的海水逐渐吞噬珊瑚,使营养级较低的浮游生物丧失栖息地,从而破坏

食物链

C.海洋吸收大量二氧化碳,可减缓气候变暖

D.人类工业生产排出的大量CO2多数被海洋和森林吸收了,尽管造成了温室效应,但

是对物种的多样性没有影响

解析:人类排出过多的二氧化碳,打破了自然界原来的碳循环的平衡状态,对生物

的生存产生很大的影响,使部分生物因不适应变化后的环境而被淘汰,致使生物的

多样性锐减。

答案:D

试题详情

3.下列有关生态系统信息传递的说法,正确的是             ( )

A.任何生命形式,如果没有接受信息、处理信息和利用信息的能力,就无法适应环境

B.信息传递应用在农业生产中,不仅可以提高农产品的产量,也可对有害动物进行控

C.延长短日照植物黄麻的光照时间可提高麻皮产量,这属于行为信息的合理利用

D.在任何生态系统中,能量、物质和信息三者之间的关系都是密不可分的

解析:生命活动的正常进行,离不开信息的作用;信息传递在农业中的应用主要是提高农产品或畜产品的产量,对有害生物进行控制等;光照属于物理信息,而不是行为信息;能量流动,物质循环和信息传递是生态系统的功能,它们共同把生态系统的各个组分联系成一个统一整体。

答案:C

试题详情

2.右图表示生物圈中碳元素的循环过程,下列有关叙述正确的

是                       ( )

A.③过程代表绿色植物的光合作用

B.图中A、B分别代表消费者和生产者

C.温室效应主要是由⑦过程造成的

D.农业生产中的中耕松土可以增大⑤过程

解析:化石燃料的大量燃烧是造成温室效应的主要原因。③

过程表示呼吸作用,A表示分解者,中耕松土对过程③有促进作用。

答案:C

试题详情

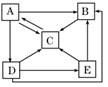
1.(2010·扬州模拟)有关右图的叙述正确的是      ( )

①图中只有两条食物链 ②细菌与狐之间既捕食又竞争 ③

细菌占有第2、3、4、5营养级 ④该生态系统的能量流动是

从草固定太阳能开始的

A.①②③    B.②③

C.②③④        D.③④

解析:图中共有两条食物链,分别是:草→兔→狐,草→昆虫→鸡→狐。生产者固

定的太阳能是流经生态系统的总能量。分解者不参与食物链,不占营养级,细菌与

狐没有共同的捕食对象,不存在捕食和竞争关系。

答案:B

试题详情

I was catching a flight to St.Louis,then on to Minnesota.In front of me  1  an old lady.She smiled back at me;I smiled at her  2 .

The rest of the flight was as  3 ,but as I was getting off the plane I noticed her standing by not knowing what  4  she was to take and what gate.I stood beside her  5  for my gate,and flight number.I told her that I had  6  her on the flight to St.Louis.She said “Thank you”.I  7  what flight she was taking?She said to “Phoenix”.I knew she  8  a two­hour layover (停留),I also had it and asked her  9  she would like to go to the shop for something to eat or drink.She said “Sure”.We  10  each other on the way there,and she told me that her  11  was “Phyllis”.I laughed and said “My name is Phyllis  12 .”

As we sat in the hall she  13  telling me that she had been told she was  14  of cancer and had less than 6 months to  15 .She was on her way to visit her children and grandchildren before she began taking  16 .She then told me that she had never  17  before and she had prayed a specific  18 .She was afraid she would get lost at the airport.She prayed that someone would meet her at the gate and  19  her.She then asked me,“Are you an Angel(天使)God has sent?”No,I assured her I was no angel.But I was  20  I was ready to help whoever was in trouble.

1.A.lay         B.stood

C.sat         D.had

解析:在我的前排坐着一位老太太。

答案:C

2.A.happily      B.politely

C.sadly        D.rudely

解析:我也礼貌地对她笑了笑。politely礼貌地,对方对我微笑,我当然应该“礼貌地”回应。

答案:B

3.A.usual         on

C.that          D.such

解析:剩下的飞行像以往一样,没有什么特别的。as usual像以往一样。

答案:A

4.A.flight        B.way

C.number       D.route

解析:不知道乘哪次班机。flight班机。

答案:A

5.A.seeing           B.searching

C.looking          D.waiting

解析:寻找我的登机入口处。look for是固定搭配,search for搜寻。

答案:C

6.A.noticed          B.found

C.discovered         D.caught

解析:我告诉她我在飞机上见到过她。notice注意到,见到。

答案:A

7.A.added      B.asked

C.meant      D.wanted

解析:我问她乘多少号班机。

答案:B

8.A.managed       B.planned

C.had         D.tried

解析:我知道她有两个小时的停留时间,即在机场停留两个小时。

答案:C

9.A.if        B.when

C.why      D.what

解析:问她是否想去商店吃点什么,或喝点什么饮料。

答案:A

10.A.introduced      B.said

C.required       D.wished

解析:路上我们相互做了介绍。

答案:A

11.A.husband      B.address

C.name       D.home

解析:她名叫菲莉斯(Phyllis)。

答案:C

12.A.either         her

C.anyway        D.too

解析:我也叫菲莉斯(Phyllis)。

答案:D

13.A.decided      B.began

C.hoped       D.avoided

解析:我们在大厅坐着休息时,她开始向我诉说。

答案:B

14.A.tired       B.made

C.dying       D.fond

解析:她得了癌症,快要死了。dying快死了。

答案:C

15.A.stay      B.play

C.survive     D.live

解析:活不了六个月。

答案:D

16.A.medicine        B.experiments

C.tests           D.treatment

解析:在接受治疗前,她要去看望她的孩子和孙子。take treatment接受治疗。

答案:D

17.A.traveled      B.cured

C.relaxed       D.flown

解析:她从来没有乘过飞机。flown是fly的过去分词。

答案:D

18.A.measure         B.prayer

C.step           D.question

解析:她作了特殊的祈祷。pray后接同源宾语prayer。

答案:B

19.A.see        B.lead

C.bring       D.help

解析:在入口处遇上并帮助她。

答案:D

20.A.told         B.sure

sidered      D.proud

解析:我肯定会帮助任何处于困境的人。

答案:B

试题详情


同步练习册答案