0  390757  390765  390771  390775  390781  390783  390787  390793  390795  390801  390807  390811  390813  390817  390823  390825  390831  390835  390837  390841  390843  390847  390849  390851  390852  390853  390855  390856  390857  390859  390861  390865  390867  390871  390873  390877  390883  390885  390891  390895  390897  390901  390907  390913  390915  390921  390925  390927  390933  390937  390943  390951  447090 

6.His words only  the viewpoint of several people.

A.spoke     B.stood

C.told      D.represented

解析:句意:他的话只代表一些人的观点。句中represent意为“代表”。

答案:D

试题详情

5.A healthy life is frequently thought to be  with the open countryside and

homegrown food.

A.tied          B.wind

C.involved        D.associated

解析:句意:健康的生活通常被认为是和乡村户外生活,以及自种的食物有联系。其

他选项不符合题意。

答案:D

试题详情

4.We must avoid  a bad impression on others in public places.

A.to leave       B.leaving

C.to have left      D.leave

解析:avoid接宾语时,宾语通常是名词或v.­ing形式。

答案:B

试题详情

3.  ,the northerners are much taller than the southerners.

A.In total      B.In particular

C.In common    D.In general

解析:in general“一般来说”;in total“总计”;in particular“尤其”;in

common“有共同之处”。由句意知选D。

答案:D

试题详情

2.Adults who don't go through university  get jobs with a low pay.

A.are possible to     B.are unable to

C.are likely to      D.are equal to

解析:be likely to有可能,可以接人作主语,符合句意。句意:那些没有上过大学的

成年人有可能找到工资低的工作。possible不可以用人作主语。to be equal to(能胜任)

的,to为介词,后接v.­ing, B项逻辑上不对。

答案:C

试题详情

1.(2010·哈师大附中检测)After class they will discuss the  to the study of physics.

A.approaches      B.means

C.methods       D.ways

解析:approach方法。表示“方法”时,只有approach才能和介词to连用。

答案:A

试题详情

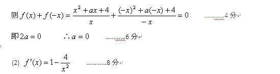
20.(本小题满分14分)

解:(1)    ∴   …………2分

    

  ∴   …………4分

   故   …………5分

   ∴椭圆C的方程为   …………6分

(2) 圆的方程可化为:,故圆心   …………7分

所求直线方程为   …………8分

联立椭圆方程,消去,得

   …………10分

关于对称

   …………12分

   …………13分

  

,∴   …………4分

(2)若为奇数            若为偶数

         则

        

            

方程无解;   …………6分        (不符合)方程无解   …………8分

综上述,这样的不存在;        

(3)   …………9分

   …………10分

…………12分

=  

   …………14分

试题详情

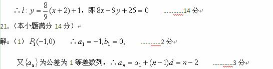
19.(本小题满分14分)

解:(1)  若为奇函数,

∴在

上单调递增   …………10分

上恒大于0只要大于0即可   …………11分

  ∴

上恒大于0,的取值范围为   …………14分

试题详情

18. (本小题满分14分)

(本小题主要考查空间线面关系、几何体的体积等知识,  考查数形结合、化归与转化的数学思想方法,以及空间想象能力、推理论证能力和运算求解能力)

(1) 证明:∵,且

   ,∴  …4分

(2) 证明:连接,在正方形中,

,,∴

,∴

,∴  …5分

(3) 解:为三棱锥的高,且

, ∴

设蜜蜂在长方体中飞入三棱锥内为事件.

  …5分

试题详情

18.(本小题满分12分)

试题详情


同步练习册答案