0  411730  411738  411744  411748  411754  411756  411760  411766  411768  411774  411780  411784  411786  411790  411796  411798  411804  411808  411810  411814  411816  411820  411822  411824  411825  411826  411828  411829  411830  411832  411834  411838  411840  411844  411846  411850  411856  411858  411864  411868  411870  411874  411880  411886  411888  411894  411898  411900  411906  411910  411916  411924  447090 

21.小洋家买了一辆崭新漂亮的小汽车,她高兴极了,把车的里里外外都观察了个够。通过观察,小洋发现小汽车的许多部件都用到了物理知识,下面是她列出的几项,请你帮她补充完整。

(1)小汽车的轮胎上有许多凹凸不平的花纹,是为了    轮胎与地面间的摩擦力;

(2)小汽车前面的挡风玻璃是倾斜安装的,这是为了避免因      而干扰驾驶员的视线;

(3)小汽车的发动机是汽油机,从能源可否再生的角度看,汽油是     能源;

(4)她查阅小汽车的说明书,发现汽车前灯灯泡的规格是“12V  25W”,其物理意义是           

试题详情

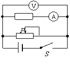
20.如图所示电路中,电源电压保持不变,当开关S闭合,滑

动变阻器的滑片P向右移动时,电表的示数变化情况是

A.电流表示数增大,电压表示数增大

B.电流表示数减小,电压表示数增大

C.电流表示数不变,电压表示数不变

D.电流表示数减小,电压表示数不变

试题详情

19.关于“8V 4W” 的灯L1和 “4V 2W”的灯L2,下列说法中错误的是

A.L1的电阻大于L2的电阻

B.两灯均正常工作时,L1较亮

C.两灯串联在12V电源两端时都能正常发光

D.两灯并联时,两端最大可加8V电压

试题详情

18.在物理实验课上,小明想观察直流电动机模型的工作情况,将其接入电路,各部分连接完好,结果电动机却不工作,他用手轻轻地碰了一下线圈后,直流电动机模型开始正常转动,其原因可能是

A.直流电动机的铜半环与电刷接触不良    

B.电源电压太低

C.线圈刚好处于平衡位置          

D.线圈中的电流太小

试题详情

17.某同学在探究“电阻上的电流跟两端电压的关系”时,发现通过电阻ab的电流

随电压变化情况如图所示,则下列结论与图象相符的是

A.电阻一定时,电流随着电压的增大而减小 

B.电压相同时,阻值大的电阻通过的电流大

C.电流相同时,阻值小的电阻两端的电压大

D.两电阻阻值的关系是RaRb

试题详情

16.一艘轮船从长江驶入东海,比较轮船在长江与东海里所受的浮力,下列说法中正确的是 

A.由于轮船始终浮在水面上,所以它受到的浮力不变

B.由于海水的密度大,所以轮船在海洋里受到的浮力大

C.由于轮船排开海水的体积小,所以它在海洋里受到的浮力小

D.由于轮船排开海水的体积大,所以它在海洋里受到的浮力大

试题详情

15.一重为10N的台灯静止在水平书桌上。下列说法正确的是

A.台灯受到的重力和台灯对桌面的压力是一对相互作用力

B.台灯受到的重力与桌面对台灯的支持力是一对相互作用力

C.台灯受到的重力和台灯对桌面的压力是一对平衡力

D.台灯受到的重力和桌面对台灯的支持力是一对平衡力

试题详情

14.下列情景可能发生的是

A.有人居然用一块冰将一张纸点燃了

B.小明在常德的家中用不加盖的铁锅将水烧到了120℃

C.传说中项羽能用手提自己的头发将自己提离地面

D.宇航员们在太空中行走时可不通过任何工具而自由交谈

试题详情

13.下列工具:①钢丝钳  ②钓鱼杆  ③筷子  ④镊子  ⑤开酒瓶用的起子,其中属于费力杠杆的是

A.①②③   B.②③④   C.①③⑤   D.②③⑤

试题详情

12.如图所示,杯子中装满水,现向杯中轻轻放入一个小木块,

小木块漂浮在水面,则放入木块后

A.水对杯底的压强增大

B.水对杯底的压强不变

C.水对杯底的压力增大

D.水对杯底的压力减小

试题详情


同步练习册答案