0  424509  424517  424523  424527  424533  424535  424539  424545  424547  424553  424559  424563  424565  424569  424575  424577  424583  424587  424589  424593  424595  424599  424601  424603  424604  424605  424607  424608  424609  424611  424613  424617  424619  424623  424625  424629  424635  424637  424643  424647  424649  424653  424659  424665  424667  424673  424677  424679  424685  424689  424695  424703  447090 

9.已知a>0,若平面内三点A(1,-a),B(2,a2),C(3,a3)共线,则a=________.

答案:1+

解析:由kABkBC,即=,可得a(a2-2a-1)=0,即a=1±或a=0,又a>0,故a=1+.

试题详情

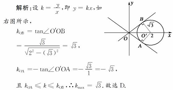
8.(2009·宜昌调研)若实数xy满足等式(x-2)2+y2=3,那么的最大值为( )

A.                                  B.

C.                                 D.

答案:D

试题详情

7.已知直线l1y=2x+3,直线l2l1关于直线yx对称,直线l3l2,则l3的斜率为( )

A.                                  B.-

C.-2                               D.2

答案:C

解析:由于直线l1l2关于yx对称,

则直线l2的方程为x=2y+3,即yx-,

kl2=.又l3l2,∴kl3=-=-2.故选C.

试题详情

6.若点A(2,-3)是直线a1x+b1y+1=0和a2x+b2y+1=0的公共点,则相异两点(a1b1)和(a2b2)所确定的直线方程是( )

A.2x-3y+1=0                       B.3x-2y+1=0

C.2x-3y-1=0                       D.3x-2y-1=0

答案:A

解析:∵2a1-3b1+1=0,2a2-3b2+1=0,

∴(a1b1),(a2b2)是直线2x-3y+1=0上的点.故选A.

试题详情

5.经过点P(1,4)的直线在两坐标轴上的截距都是正的,且截距之和最小,则直线的方程为( )

A.x+2y-6=0                        B.2x+y-6=0

C.x-2y+7=0                        D.x-2y-7=0

答案:B

解法一:直线过P(1,4),代入,排除AD

又在两坐标轴上的截距均为正,排除C.故选B.

解法二:设方程为+=1,

将(1,4)代入得+=1,

a+b=(a+b)=5+≥9,

当且仅当b=2a,即a=3,b=6时,截距之和最小,

∴直线方程为+=1,即2x+y-6=0.故选B.

试题详情

4.过点(1,3)作直线l,若经过点(a,0)和(0,b),且a∈N*b∈N*,则可作出的l的条数为( )

A.1                                 B.2

C.3                                 D.4

答案:B

解法一:由题意+=1

⇒(a-1)(b-3)=3.∵a∈N*b∈N*

有两个解或.故选B.

解法二:利用斜率相等知=

⇒(a-1)(b-3)=3.

以下同解法一.

试题详情

3.已知直线l经过A(2,1),B(1,m2)(m∈R)两点,那么直线l的倾斜角的取值范围是( )

A.[0,π)                             B.∪

C.                              D.∪

答案:B

解析:∵k==1-m2,∴k≤1.

即tanα≤1,∴α∈∪.故选B.

试题详情

2.已知直线l过点(a,1),(a+1,tanα+1),则( )

A.α一定是直线l的倾斜角

B.α一定不是直线l的倾斜角

C.α不一定是直线l的倾斜角

D.180°-α一定是直线l的倾斜角

答案:C

解析:根据题意,直线l的斜率

k==tanα.

θ为直线的倾斜角,

则一定有θ∈[0°,180°),且tanθk

所以若α∈[0°,180°),则α是直线l的倾斜角;

α∉[0°,180°),则α不是直线l的倾斜角,

所以α不一定是直线l的倾斜角.故选C.

试题详情

1.直线xcosθ+y-1=0(θ∈R)的倾斜角的范围是( )

A.[0,π)                    B.

C.                             D.∪

答案:D

解析:设倾斜角为αk=tanα=-cosθ.

θ∈R,-1≤-cosθ≤1,∴-1≤k≤1.

α∈∪.故选D.

试题详情

9.⑴348;⑵64.10.共有个:ab,ac,ad,ba,bc,bd,ca,cb,cd,da,db,dc.11.共有个,具体的排列略

试题详情


同步练习册答案