0  427415  427423  427429  427433  427439  427441  427445  427451  427453  427459  427465  427469  427471  427475  427481  427483  427489  427493  427495  427499  427501  427505  427507  427509  427510  427511  427513  427514  427515  427517  427519  427523  427525  427529  427531  427535  427541  427543  427549  427553  427555  427559  427565  427571  427573  427579  427583  427585  427591  427595  427601  427609  447090 

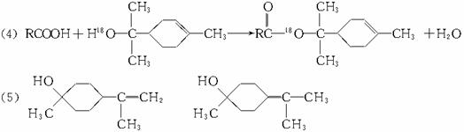
32.答案:(1)C10H1818O  (2)a  (3)ac

解析:由α-松油醇的结构简式可以看出,-OH直接与链烃基相连,应是醇;分子中含有环状结构且有双键,应属于不饱和醇,能发生加成反应,也能被氧化。A在脱水发生消去反应时,如果是环上的-OH发生消去,得α-松油醇;如果是侧链上的-OH发生消去反应,去氢的位置有两种,一种是去侧链上的氢,得β-松油醇,另一种是去环上的氢,得γ-松油醇。

试题详情

31.答案:A

解析Ⅰ:戊烷  C5H12+8O25CO2+6H2O

苯   2C6H6+15O212CO2+6H2O

苯酚  C6H5OH+7O26CO2+3H2O

设有机物均为1 mol 时需O2量依次为8 mol、7.5 mol、7 mol。所以xyz,故选A。

解析Ⅱ:如能熟记1 mol C需1 mol O2、4 mol H需 1 mol O2,则只由分子式可直接求出完全燃烧时需O2的量。(如有机物中含O,可从需O总量中减去。或含有一个O原子从有机物分子先去2个H,再算需O2的总量)

试题详情

30.答案:B

解析:解此题的思路可以逐一分析(1)-(5)五种物质,也可以从发生加成、酯化、氧化反应的官能团的特性分析。但对各种官能团特性的分析是解题的关键。能发生加成反应是“==”“≡”键的性质,而-OH,-COOH是发生酯化反应的官能团,而不饱和键:-OH、-CHO可发生氧化反应(此题中的氧化反应应是指不完全氧化),由此可知:(2)不能发生加成反应;(4)不能发生酯化反应,其余符合,故选B。

试题详情

29.答案:C

解析:题给信息①同系列结构可用通式表示;②W为2价基团,即是系差;因此在给出的选项中能找到系差W,可用通式①表示的即可称为同系列,否则为此题答案。其中A、B、D的W和通式分别为:

而C中,第一项无Cl原子,后两项有。不能称为同系列,故选C。

试题详情

0.2 mol                           x

x=11.2 g,即如有0.2 mol CO2被Ca(OH)2吸收,溶液质量应减少11.2 g,而现在仅减少5.8 g即溶液吸收了11.2 g-5.8 g=5.4 g水。所以原有机物分子中n(C)∶n(H)=0.2 mol∶×2=1∶3,对照选项n(C)∶n(H)=1∶3的可能为B:C2H6O2或C:C2H6O,故选B、C。

试题详情

28.答案:BC

解析:有机物完全燃烧生成CO2和H2O(g),通过石灰水后CO2与Ca(OH)2反应,而水蒸气冷凝,也被吸收。由生成20 g沉淀知n(CO2)=0.2 mol,又

CO2+Ca(OH)2===CaCO3↓+H2O  ΔW

1 mol                         100 g-44 g=56 g

试题详情

27.答案:A

解析:由题m(CO+CO2)=27.6 g-10.8 g=16.8 g

n(H)=×2=1.2 mol

n(乙醇)==0.2 mol

所以n(CO+CO2)=0.4 mol

(CO+CO2)==42 g·mol1

(即CO、CO2平均相对分子质量为42)

所以m(CO)=×0.4 mol×28 g·mol1=1.4 g,故选A。

试题详情

26.答案:CD

解析:新旧方法的原料分别是:

旧:丙酮、HCN、CH3OH、H2SO4

新:丙炔、CO、CH3OH;

从中看出原料均无爆炸性,故排除A项;又其中HCN、CO为有毒物质,可排除B项。然后分析给出反应,旧法有副产物NH4HSO4生成,故C正确;又旧法中使用H2SO4、HCN等对设备有腐蚀作用,故D也正确。

试题详情

25.答案:C

解析:四个选项中Br被-OH取代后的生成物分别是:A为芳香醇,B为酚,C为羧酸,D为脂环醇。已知醇不能与NaHCO3反应,再由题意,酸性:羧酸>碳酸>酚,即只有羧酸能与NaHCO3反应,所以选C项。

试题详情

24.答案:AC

解析:由键线式的书写原则,结合结构式形式即可求出C、H原子个数,从而确定分子式为C20H30O,故A对。又由该有机物的烃基很大可以推测,该有机物不易溶于水,由键线式的写法可知异戊二烯可表示为故可知维生素A结构中有异戊二烯的碳链结构。由维生素A中C==C双键数目可知1 mol维生素A最多可与5 mol H2加成。故选A、C。

试题详情


同步练习册答案