0  427755  427763  427769  427773  427779  427781  427785  427791  427793  427799  427805  427809  427811  427815  427821  427823  427829  427833  427835  427839  427841  427845  427847  427849  427850  427851  427853  427854  427855  427857  427859  427863  427865  427869  427871  427875  427881  427883  427889  427893  427895  427899  427905  427911  427913  427919  427923  427925  427931  427935  427941  427949  447090 

2.(2009崇文区期末试题)质量相等的两木块AB用一轻弹簧栓接,静置于水平地面上,如图(a)所示。现用一竖直向上的力F拉动木块A,使木块A向上做匀加速直线运动,如图(b)所示。从木块A开始做匀加速直线运动到木块B将要离开地面时的这一过程,下列说法正确的是(设此过程弹簧始终处于弹性限度内 )(  A  )

A.力F一直增大

B.弹簧的弹性势能一直减小

C.木块A的动能和重力势能之和先增大后减小

D.两木块A、B和轻弹簧组成的系统的机械能先增大后减小

试题详情

1.(2009崇文区期末试题)如图所示,一个质量为0.18kg的垒球,以25m/s的水平速度飞向球棒,被球棒打击后反向水平飞回,速度大小变为45m/s,设球棒与垒球的作用时间为0.01s。下列说法正确的是(  A  )

①球棒对垒球的平均作用力大小为1260N

②球棒对垒球的平均作用力大小为360N

③球棒对垒球做的功为126J

④球棒对垒球做的功为36J

A.①③      B.①④       C.②③      D.②④

试题详情

27.(09·宁夏·24)冰壶比赛是在水平冰面上进行的体育项目,比赛场地示意如图。比赛时,运动员从起滑架处推着冰壶出发,在投掷线AB处放手让冰壶以一定的速度滑出,使冰壶的停止位置尽量靠近圆心O.为使冰壶滑行得更远,运动员可以用毛刷擦冰壶运行前方的冰面,使冰壶与冰面间的动摩擦因数减小。设冰壶与冰面间的动摩擦因数为=0.008,用毛刷擦冰面后动摩擦因数减少至=0.004.在某次比赛中,运动员使冰壶C在投掷线中点处以2m/s的速度沿虚线滑出。为使冰壶C能够沿虚线恰好到达圆心O点,运动员用毛刷擦冰面的长度应为多少?(g取10m/s2)

解析:

设冰壶在未被毛刷擦过的冰面上滑行的距离为,所受摩擦力的大小为:在 被毛刷擦过的冰面上滑行的距离为,所受摩擦力的大小为。则有

+=S  ①

式中S为投掷线到圆心O的距离。

  ②

  ③

设冰壶的初速度为,由功能关系,得

  ④

联立以上各式,解得

  ⑤

代入数据得

  ⑥

2009联考题

试题详情

26.(09·广东物理·20)如图20所示,绝缘长方体B置于水平面上,两端固定一对平行带电极板,极板间形成匀强电场E。长方体B的上表面光滑,下表面与水平面的动摩擦因数=0.05(设最大静摩擦力与滑动摩擦力相同)。B与极板的总质量=1.0kg.带正电的小滑块A质量=0.60kg,其受到的电场力大小F=1.2N.假设A所带的电量不影响极板间的电场分布。t=0时刻,小滑块A从B表面上的a点以相对地面的速度=1.6m/s向左运动,同时,B(连同极板)以相对地面的速度=0.40m/s向右运动。问(g取10m/s2)

(1)A和B刚开始运动时的加速度大小分别为多少?

(2)若A最远能到达b点,a、b的距离L应为多少?从t=0时刻至A运动到b点时,摩擦力对B做的功为多少?

解析:⑴由牛顿第二定律

A刚开始运动时的加速度大小 方向水平向右

B刚开始运动时受电场力和摩擦力作用

由牛顿第三定律得电场力

摩擦力

B刚开始运动时的加速度大小方向水平向左

⑵设B从开始匀减速到零的时间为t1,则有

此时间内B运动的位移

t1时刻A的速度,故此过程A一直匀减速运动。

  此t1时间内A运动的位移

此t1时间内A相对B运动的位移

此t1时间内摩擦力对B做的功为

t1后,由于,B开始向右作匀加速运动,A继续作匀减速运动,当它们速度相等时A、B相距最远,设此过程运动时间为t2,它们速度为v,则有

对A   速度

对B  加速度

     速度

联立以上各式并代入数据解得 

此t2时间内A运动的位移

此t2时间内B运动的位移

此t2时间内A相对B运动的位移

此t2时间内摩擦力对B做的功为

所以A最远能到达b点a、b的距离L为

从t=0时刻到A运动到b点时,摩擦力对B做的功为

 

试题详情

25.(09·广东物理·19)如图19所示,水平地面上静止放置着物块B和C,相距=1.0m 。物块A以速度=10m/s沿水平方向与B正碰。碰撞后A和B牢固地粘在一起向右运动,并再与C发生正碰,碰后瞬间C的速度=2.0m/s 。已知A和B的质量均为m,C的质量为A质量的k倍,物块与地面的动摩擦因数=0.45.(设碰撞时间很短,g取10m/s2)

(1)计算与C碰撞前瞬间AB的速度;

(2)根据AB与C的碰撞过程分析k的取值范围,并讨论与C碰撞后AB的可能运动方向。

解析:⑴设AB碰撞后的速度为v1,AB碰撞过程由动量守恒定律得

      

  设与C碰撞前瞬间AB的速度为v2,由动能定理得

   

  联立以上各式解得

⑵若AB与C发生完全非弹性碰撞,由动量守恒定律得

   

  代入数据解得  

  此时AB的运动方向与C相同

若AB与C发生弹性碰撞,由动量守恒和能量守恒得

   

联立以上两式解得

代入数据解得 

此时AB的运动方向与C相反

若AB与C发生碰撞后AB的速度为0,由动量守恒定律得

代入数据解得

总上所述得  当时,AB的运动方向与C相同

时,AB的速度为0

 当时,AB的运动方向与C相反

试题详情

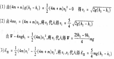
24.(09·重庆·24)探究某种笔的弹跳问题时,把笔分为轻质弹簧、内芯和外壳三部分,其中内芯和外壳质量分别为m和4m.笔的弹跳过程分为三个阶段:

①把笔竖直倒立于水平硬桌面,下压外壳使其下端接触桌面(见题24图a);

②由静止释放,外壳竖直上升至下端距桌面高度为时,与静止的内芯碰撞(见题24图b);

③碰后,内芯与外壳以共同的速度一起上升到外壳下端距桌面最大高度为处(见题24图c)。

设内芯与外壳的撞击力远大于笔所受重力、不计摩擦与空气阻力,重力加速度为g。

求:(1)外壳与碰撞后瞬间的共同速度大小;

(2)从外壳离开桌面到碰撞前瞬间,弹簧做的功;

(3)从外壳下端离开桌面到上升至处,笔损失的机械能。

解析:

试题详情

23.(09·重庆·23)2009年中国女子冰壶队首次获得了世界锦标赛冠军,这引起了人们对冰壶运动的关注。冰壶在水平冰面上的一次滑行可简化为如下过程:如题23图,运动员将静止于O点的冰壶(视为质点)沿直线推到A点放手,此后冰壶沿滑行,最后停于C点。已知冰面各冰壶间的动摩擦因数为,冰壶质量为m,AC=L,=r,重力加速度为g

(1)求冰壶在A 点的速率;

(2)求冰壶从O点到A点的运动过程中受到的冲量大小;

(3)若将段冰面与冰壶间的动摩擦因数减小为,原只能滑到C点的冰壶能停于点,求A点与B点之间的距离。

解析:

试题详情

22.(09·四川·25) 如图所示,轻弹簧一端连于固定点O,可在竖直平面内自由转动,另一端连接一带电小球P,其质量m=2×10-2 kg,电荷量q=0.2 C.将弹簧拉至水平后,以初速度V0=20 m/s竖直向下射出小球P,小球P到达O点的正下方O1点时速度恰好水平,其大小V=15 m/s.若O、O1相距R=1.5 m,小球P在O1点与另一由细绳悬挂的、不带电的、质量M=1.6×10-1 kg的静止绝缘小球N相碰。碰后瞬间,小球P脱离弹簧,小球N脱离细绳,同时在空间加上竖直向上的匀强电场E和垂直于纸面的磁感应强度B=1T的弱强磁场。此后,小球P在竖直平面内做半径r=0.5 m的圆周运动。小球P、N均可视为质点,小球P的电荷量保持不变,不计空气阻力,取g=10 m/s2。那么,

(1)弹簧从水平摆至竖直位置的过程中,其弹力做功为多少?

(2)请通过计算并比较相关物理量,判断小球P、N碰撞后能否在某一时刻具有相同的速度。

(3)若题中各量为变量,在保证小球P、N碰撞后某一时刻具有相同速度的前提下,请推导出r的表达式(要求用B、q、m、θ表示,其中θ为小球N的运动速度与水平方向的夹角)。

解析:

(1)设弹簧的弹力做功为W,有:          

        ①

代入数据,得:W=J          ②

(2)由题给条件知,N碰后作平抛运动,P所受电场力和重力平衡,P带正电荷。设P、N碰后的速度大小分别为v1和V,并令水平向右为正方向,有:   ③

而:                ④

若P、N碰后速度同向时,计算可得V<v1,这种碰撞不能实现。P、N碰后瞬时必为反向运动。

有:           ⑤

P、N速度相同时,N经过的时间为,P经过的时间为。设此时N的速度V1的方向与水平方向的夹角为,有:                    ⑥

              ⑦

代入数据,得:             ⑧

对小球P,其圆周运动的周期为T,有:

                  ⑨

经计算得: <T,

P经过时,对应的圆心角为,有:      ⑩

当B的方向垂直纸面朝外时,P、N的速度相同,如图可知,有:

联立相关方程得:

比较得, ,在此情况下,P、N的速度在同一时刻不可能相同。

当B的方向垂直纸面朝里时,P、N的速度相同,同样由图,有:

同上得:

比较得, ,在此情况下,P、N的速度在同一时刻也不可能相同。

(3)当B的方向垂直纸面朝外时,设在t时刻P、N的速度相同,

再联立④⑦⑨⑩解得:

当B的方向垂直纸面朝里时,设在t时刻P、N的速度相同

同理得:

考虑圆周运动的周期性,有:

(给定的B、q、r、m、等物理量决定n的取值)

试题详情

21.(09·上海物理·23)(12分)如图,质量均为m的两个小球A、B固定在弯成120°角的绝缘轻杆两端,OA和OB的长度均为l,可绕过O点且与纸面垂直的水平轴无摩擦转动,空气阻力不计。设A球带正电,B球带负电,电量均为q,处在竖直向下的匀强电场中。开始时,杆OB与竖直方向的夹角q0=60°,由静止释放,摆动到q=90°的位置时,系统处于平衡状态,求:

(1)匀强电场的场强大小E

(2)系统由初位置运动到平衡位置,重力做的功Wg和静电力做的功We

(3)B球在摆动到平衡位置时速度的大小v

解析:(1)力矩平衡时:(mgqE)lsin90°=(mg+qE)lsin(120°-90°),

mgqE=(mg+qE),得:E=;

(2)重力做功:Wgmgl(cos30°-cos60°)-mglcos60°=(-1)mgl

静电力做功:WeqEl(cos30°-cos60°)+qElcos60°=mgl

(3)小球动能改变量DEk=mv2Wg+We=(-1)mgl

得小球的速度:v==。

试题详情

20.(09·上海物理·20)质量为5´103 kg的汽车在t=0时刻速度v0=10m/s,随后以P=6´104 W的额定功率沿平直公路继续前进,经72s达到最大速度,设汽车受恒定阻力,其大小为2.5´103N。求:(1)汽车的最大速度vm;(2)汽车在72s内经过的路程s

解析:(1)当达到最大速度时,P==Fv=fvmvm==m/s=24m/s

(2)从开始到72s时刻依据动能定理得:

Ptfsmvm2mv02,解得:s==1252m。

试题详情


同步练习册答案